各乡镇人民政府,县直各部门:《姚安县国民经济和社会发展第十四个五年规划和二〇三五年远景目标纲要》已经县第十七届人民代表大会第五次会议审查通过,现印发给你们,请认真贯彻执行。
姚安县人民政府
2021年6月30日
(此件公开发布)
姚安县国民经济和社会发展第十四个五年规划和二O三五年远景目标纲要
姚安县人民政府
目 录
前 言
第一章 发展基础和面临形势
第一节“十三五”发展成就
第二节 面临形势
第二章 指导方针
第一节 指导思想
第二节 基本原则
第三节 发展定位
第四节 二〇三五年远景目标及“十四五”发展目标
第三章 优化空间布局,打造姚安新发展格局
第一节 打造姚安坝子成为最具特色的田园之城
第二节 构建昆楚大复线绿色经济发展走廊
第三节 发展蜻蛉河、石者河、一泡江三流域产业经济带
第四节 推进山区综合开发
第四章 坚持产业强县,着力完善现代产业体系
第一节 稳步发展高原特色现代农业
第二节 加快发展绿色食品加工业
第三节 创意打造旅游文化产业
第四节 推进现代物流产业
第五节 推动健康服务业发展
第六节 着力培育新兴产业
第五章 坚持城乡融合,着力打造特色田园城市
第一节 优化城镇布局
第二节 健全城乡融合发展体制机制
第三节 推进新型城镇化健康发展
第六章 坚持三农优先,着力推进乡村振兴战略
第一节 巩固拓展脱贫攻坚成果
第二节 推动乡村产业发展
第三节 培养乡村实用人才
第四节 建设美丽乡村
第七章 坚持基础先行,着力夯实基础设施建设
第一节 构建便捷交通网
第二节 完善水资源保障网
第三节 筑牢能源保障网
第四节 搭建新基建数据信息网
第五节 建设物流保障网
第八章 坚持绿色发展,着力推进生态文明建设
第一节 实施生态环境分区管控
第二节 加强生态建设与环境保护
第三节 促进资源节约循环高效利用
第四节 推进生态文明制度建设
第九章 坚持扩大内需,着力融入“双循环”格局
第一节 培育繁荣消费市场
第二节 促进有效投资
第三节 推动贸易高质量发展
第十章 坚持创新驱动,着力塑造发展新优势
第一节 大力推动科技创新和成果转化
第二节 完善创新体制机制
第三节 加强创新型企业培育
第四节 加强创新人才培养
第五节 激发创新创业活力
第十一章 坚持区域协调,着力深化改革扩大开放
第一节 持续全面深化落实改革
第二节 构建对外开放新格局
第十二章 坚持民生为重,着力建设幸福健康姚安
第一节 优先发展教育体育事业
第二节 持续推进医疗卫生事业
第三节 多措并举稳定就业质量
第四节 加快健全社会保障体系
第五节 繁荣发展社会文化事业
第十三章 坚持和谐稳县,着力提升社会治理水平
第一节 建设法治姚安
第二节 建设平安姚安
第三节 建设和谐姚安
第十四章 坚持党的领导,确保规划全面得到实施
第一节 加强组织领导
第二节 强化项目支撑
第三节 加强督查考核
第四节 做好宣传引导
附表
1. 姚安县“十三五”规划指标完成情况表
2. 姚安县“十四五”经济社会发展主要指标表
附图
前言
“十四五”时期是我国建成小康社会、实现第一个百年奋斗目标之后,乘势而上开启全面建设社会主义现代化国家新征程、吹响向第二个百年奋斗目标进军号角的第一个五年。站在新的历史起点上,高质量编制姚安县国民经济和社会发展第十四个五年规划,以高质量规划引领高质量发展,对于全县深入学习贯彻党的十九大和十九届二中、三中、四中、五中全会以及习近平总书记考察云南重要讲话精神,全面开启社会主义现代化建设新征程,具有重大现实意义和深远历史意义。
第一章发展基础和面临形势
“十三五”期间,在省委省政府、州委州政府的正确领导下,全县上下深入学习习近平新时代中国特色社会主义思想,认真贯彻落实习近平总书记考察云南重要讲话精神,坚持“五位一体”总体布局和“四个全面”战略布局,落实创新、协调、绿色、开放、共享的发展理念,主动融入和积极服务国家、云南省和楚雄州发展战略,经济发展不断提速,民生福祉不断提高,生态环境持续好转,民族团结、社会稳定的大好局面进一步巩固,如期实现高质量脱贫摘帽,如期全面建成小康社会,为全县全面融入全国、全省、全州社会主义现代化建设新征程奠定了坚实基础。
第一节“十三五”发展成就
“十三五”时期,是姚安县经济社会发展取得跨越式发展的时期,取得了脱贫攻坚和全面建成小康社会的历史性成就,实现了地区生产总值、产业结构调整、基础设施建设、生态文明建设、社会民生改善等方面的跨越式发展。
脱贫攻坚取得决定性胜利。推进连片特困地区综合开发,锁定扶贫重点区域和重点对象,整合资金、集中投入,着力推进扶贫开发重点工程,实施片区扶贫、基础设施、产业培育、民生改善、社会事业、培训就业、生态保障七大攻坚行动,建立精准扶贫、部门联动、脱贫考核、脱贫激励、资金投入、社会参与、干部驻村帮扶、脱贫攻坚与基层组织建设“双推进”等八大扶贫开发长效机制,推动扶贫工作精准化,构建政府、市场、社会“三位一体”扶贫格局,确保了3个贫困乡镇、44个贫困村出列、6792户建档立卡贫困户退出和24984人贫困人口脱贫。2018年在国家贫困县退出第三方评估检查中,姚安县以“零漏评、零错退、群众认可度99.22%(居全省第一位)”的优异成绩,实现了高质量脱贫摘帽。脱贫攻坚战取得决定性胜利,千百年来的绝对贫困问题得到历史性解决。
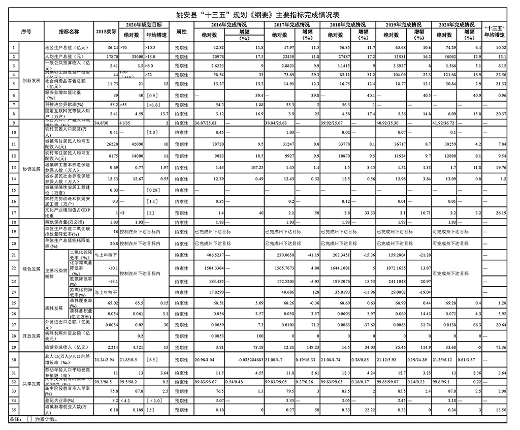
全面建成小康社会取得决定性成就。“十三五”时期,姚安县全面深化改革稳步推进,融入国家“一带一路”、长江经济带,省委、省政府加快滇中城市经济圈一体化发展和州委、州政府实施“1133”战略的步伐进一步加快,综合实力跃上新台阶。地区生产总值和城乡居民收入提前实现比2010年“翻一番”的目标。其中,地区生产总值于2016年提前实现“翻一番”目标,城镇、农村居民收入分别于2018年和2014年提前实现“翻一番”目标。“十三五”规划目标顺利实现,多数指标超额完成(见附件1)。
综合实力迈上新台阶。全县地区生产总值从“十二五”末的36.24亿元跃升到2020年的74.3亿元,增长105%,年均增速超过10.5%;人均生产总值达到36062元,年均增长15.1%;实现规模以上固定资产投资121.68亿元,年均增长22.56%;地方公共预算收入达3.57亿元,年均增长8.98%;城镇居民人均可支配收入38259元,年均增长7.84%,农村居民人均可支配收入12890元,年均增长9.54%;社会消费品零售总额达30.84亿元,年均增长21.33%。
现代产业体系建设取得新突破。全县紧紧围绕“稳粮烟、兴果蔬、强桑畜”的总要求,转方式、调结构、挖潜力,推动高原特色现代农业取得明显成效。优势产业规模不断壮大,花卉、肉牛、特色鲜果、有机蔬菜等产业发展迅速。农业产业化、组织化程度不断提高,合作组织和新型经营主体不断增加。特色农产品品牌创建初见成效,无公害农产品、绿色食品和有机农产品认证成效明显,知名度和美誉度不断提升。特色优势产业基地、特色农产品精深加工基地加快建设,现代粮食流通体系稳步推进,高标准农田建设步伐加快,农业发展基础进一步稳固。新型工业化发展基础不断夯实,绿色食品加工园区建设加速,引入了云南晟瑞农业科技有限公司、楚雄中耕现代农业发展有限公司、云南云上优品果蔬加工分中心等33家企业。现代企业实力不断增强,2019年芨源魔芋生物科技有限公司、佳祎云菜产业科技发展公司2家企业被认定为省级成长型企业,云南海润茧丝绸有限公司被认定为省级民营小巨人企业;企业科技创新能力不断提高,“十三五”以来,新增授权专利93项、高新技术企业3家、云南省农产品深加工科技型企业5家、省级农业科技示范园7个、科技型中小企业17家。现代服务业发展取得新进展,文化娱乐、交通运输、住宿餐饮、服装、家电建材等传统消费型产业稳步发展,家政、物流、物业、保洁、信息等新兴服务业健康发展;姚安滇西高原特色农业现代科技物流园建设项目一期全面完成,建设以工业品、农资、农产品等为主的电子商务示范项目,县、乡、村三级物流配送体系建设初见成效,农产品流通市场功能基本配套完成。信息化发展提速,“互联网+”蓬勃发展,信息消费大幅增长,产业互联网快速兴起,并从零售、物流等领域逐步向一二三产业全面渗透。创业扶持力度不断加大,全县发放创业担保贷款不断增长,“贷免扶补”创业贷款6221万元。人才培育和人才激励机制逐步强化,企业签约专家工作站7个。
基础设施建设取得跨越式发展。启动了新一轮县城总体规划修编,推进城乡统筹发展,城镇化率达41.92%,比“十二五”末的34.8%提高了7.12个百分点。棚改工作持续推进,房地产业健康发展,建筑业发展迅速。实施城乡人居环境提升专项行动,完成美丽乡村建设316个,城乡环卫一体化PPP项目平稳试运行。全面启动森林城市项目建设工作。扎实推进城镇“四治三改一拆一增”和农村“七改三清”行动,集镇生活垃圾处理设施覆盖率达77.78%,城乡面貌实现了大变样。光禄古镇入选第二批全国特色小镇、全省一流特色小镇创建项目。“十三五”期间,全县交通建设投入资金38.2亿元,两条高速公路建设全面推进,全县公路通车总里程达1414.9公里,初步构筑起干支相连、四通八达、纵横交错的城乡公路交通网络。农田水利建设投入资金8.11亿元,各类水库蓄水能力达1.23亿立方米,供水能力达9571万立方米,有效灌溉面积达14.55万亩,旱涝保收面积达11.7万亩,累计解决了16.86万人的饮水困难,水利化程度显著提高。全面推进三网融合,基本建成技术先进、高速畅通、安全可靠、覆盖城乡、服务便捷的宽带网络基础设施体系,积极推进实施“宽带乡村”工程,打通宽带网络接入“最后一公里”瓶颈,实现全县77个行政村光网全覆盖。
生态文明建设取得新成效。加强生态文明建设,强化生态环境保护,严守资源环境生态红线,实施退耕还林、天然林保护、生态治理、土壤污染防治、重点流域及重点区域专项治理等工程,人工造林10.06万亩,天保工程管护面积达189.23万亩,森林蓄积量达690万立方米,森林覆盖率达69.28%。构建了县、乡、村三级河长制管理体系,通过开展“清河行动”清理河道342.6公里,整治面积21.05万平方米。启用县城环境空气自动监测站,与省环保厅联网试运行并开展24小时实时监测。创建48个生态示范村,8个乡镇相继申报成为省级生态乡镇。发展循环经济,加大节能减排配套技术改造,提高废弃资源再利用率。落实严格的耕地保护制度和节约集约用地制度,加强土地开发复垦,优化配置土地资源,加大土地、矿产资源执法监察力度,强化项目用地管理,推进陡坡地治理和水土保持综合治理工作,建设高标准农田9万亩,治理水土流失面积114平方公里。
社会民生改善取得新成果。整合教育资源,培养教师队伍,切实提高教育质量和水平。大力促进教育公平,贫困地区义务教育薄弱学校基本办学条件明显改善,全县中小学教育信息化覆盖面达100%。80所中小学开办营养改善计划食堂,累计发放农村贫困家庭寄宿制生活补助、义务教育阶段营养餐补助907.11万元,义务教育均衡发展工作通过国家评估验收。医疗卫生事业全面发展,医疗卫生服务体系不断健全完善,广大群众看病就医的获得感不断提升,全县共有107个医疗机构,中医(彝)医药全面覆盖,成功创建全国基层中医药先进单位,全面实施县乡村医疗服务一体化管理和家庭医生签约服务,家庭医生签约率达100%。县人民医院、县妇计中心、县疾控中心实现整体搬迁,县中医医院搬迁、公益性骨灰公墓建设等项目有序推进。文化体育事业繁荣昌盛,全县有艺术表演团队1个、博物馆1个、文化馆(站)10个、图书馆(室)10个、农家书屋77个、村文化活动室866个,实现了行政村农家书屋和人口200人以上及党员人数10人以上自然村文化室全覆盖。就业、社会保障日益加强,新增城镇就业6309人,帮助下岗失业人员实现再就业2940人,帮助困难人员再就业1408人,转移农村劳动力256902人次。养老、医疗、失业、工伤、生育保险五大险种参保人数均达到州下达目标任务。最低生活保障标准稳步提高,城乡医疗救助范围不断扩大。大力推进危房改造工程,完成6508户农村危旧房改造,有效改善农村困难群众的住房条件。全力争创全国信访工作“三无”县,狠抓信访工作措施七个到位,2020年成功创建全国信访工作“三无”县。
这些成绩的取得,是以习近平同志为核心的党中央坚强领导的结果,是习近平新时代中国特色社会主义思想和习近平总书记考察云南重要讲话精神正确指引的结果,是省委省政府、州委州政府正确领导的结果,是县委县政府团结带领全县人民不忘初心、牢记使命,紧紧围绕“一乡两城三基地四产业”发展思路,克难攻坚、奋力拼搏的结果。
第二节面临形势
“十三五”以来,姚安各项工作取得了显著成绩,但面临的形势仍然复杂,全县经济社会发展面临着许多亟待解决的困难和问题:一是发展任务艰巨,产业支撑带动能力弱,增速快与总量小情况并存,财政穷、工业小、经济弱的现状短期内难以改变;二是城市建设滞后,规划执行不严,开发品质不高,管理机制不顺,产城融合度低,县城的“门户”效应、“龙头”作用彰显不充分;三是人才支撑不足,教育发展处于低潮,教育育人才、兴科技的作用不明显,加之县级引才、留才吸引力不足,导致经济、教育、医疗等领域人才严重匮乏;四是发展环境还需进一步优化,党员干部思想不够解放,缺乏敢闯敢试、敢为人先精神,干事创业的精气神有待提振。
相比困难,机遇大好。一是我国经济长期向好的基本面没有改变,特别是随着“一带一路”、长江经济带和乡村振兴等重大战略的实施,随着国家层面出台的稳增长、促发展系列政策措施的落实,姚安迎来了乘势发展的重大机遇;二是省州高质量跨越式发展的强劲带动,省委打造世界一流“三张牌”、州委实施“1133”行动为我县融入发展指明了方向。尤其是“三张牌”战略中,姚安在绿色食品加工、健康生活方面都极具优势与潜力;三是州委对楚中“1+4+1”城镇群和环楚雄“半小时经济圈”作出布局调整,提出了以楚雄市为核心,以南华、姚安、牟定、双柏、广通为节点,打造楚中“1+4+1”城镇群和环楚雄“半小时经济圈”的布局构想,姚安有望在楚雄市这个全州经济“龙头”的带动下迈上发展快车道;四是交通变革带来的机遇,随着楚姚高速公路、昆楚大复线的相继通车、姚南高速公路的开工建设,姚安彻底打通了交通制约“瓶颈”,在滇中滇西合作发展中将发挥着重要的枢纽作用;五是我县经过多年的艰苦努力,发展基础不断夯实,发展后劲持续增强,呈现出了厚积薄发、快速发展的良好势头,尤其是全面脱贫的如期实现,为我县在新的更高起点上推动高质量跨越式发展增强了信心、增添了动力。
综合来看,“十四五”时期,姚安县正处于战略机遇叠加期、政策红利释放期、发展布局优化期、蓄积势能迸发期、县域治理提升期,机遇大于挑战,前景十分广阔。全县上下要立足“两个大局”,深刻认识全县发展环境面临的新形势新变化,切实增强机遇意识和风险意识,充分发挥姚安县的生态资源优势、核心区位优势、文化旅游优势、临边开放优势,准确识变、科学应变、主动求变,善于在危机中育先机、在变局中开新局,抓住机遇,应对挑战,趋利避害,奋勇前进,全力以赴完成“十四五”时期的宏伟目标。
第二章指导方针
第一节指导思想
高举中国特色社会主义伟大旗帜,深入贯彻党的十九大和十九届二中、三中、四中、五中全会精神,坚持以马克思列宁主义、毛泽东思想、邓小平理论、“三个代表”重要思想、科学发展观、习近平新时代中国特色社会主义思想为指导,全面贯彻党的基本理论、基本路线、基本方略,深入贯彻落实习近平总书记考察云南重要讲话精神和省委十届十一次全会、州委九届九次全会精神,统筹推进经济建设、政治建设、文化建设、社会建设、生态文明建设总体布局,协调推进全面建设社会主义现代化国家、全面深化改革、全面依法治国、全面从严治党战略布局,坚定不移贯彻创新、协调、绿色、开放、共享的新发展理念,坚持稳中求进工作总基调,以推动高质量发展为主题,以深化供给侧结构性改革为主线,以改革创新为根本动力,以满足人民日益增长的美好生活需求为根本目的,着力打造楚中“1+4+1”城镇群和环楚雄“半小时经济圈”中最具特色的田园之城,着力构建昆楚大复线上的绿色经济发展走廊,大力培植高原特色现代农业、农产品加工和绿色食品、文化旅游和健康养生、现代物流业,加快建设休闲观光农业之乡、文化旅游康养目的地、优质农产品交易集散中心,积极主动融入国家和省州新发展格局,实现经济发展、文化繁荣、生态良好、社会和谐、政治清明的高质量跨越式发展,健全完善与经济社会发展相适应的县域治理体系,为全面建设社会主义现代化开好局、起好步。
第二节基本原则
——坚持党的全面领导。全面贯彻党的基本理论、基本路线、基本方略,加强党对各领域各方面工作领导,确保党的领导全覆盖,确保党的领导更加坚强有力,自觉在思想上政治上行动上同党中央保持高度一致,确保党始终总揽全局、协调各方,为姚安高质量转型发展提供根本保证。
——坚持以人民为中心。坚持立党为公、执政为民,践行全心全意为人民服务的根本宗旨,从群众所急所需所盼入手,不断加大民生保障投入,全面巩固拓展脱贫攻坚成果,提高社会治理能力,促进民族团结进步,增强人民群众获得感、幸福感、安全感,不断满足人民对美好生活向往的需求。
——坚持新发展理念。坚持创新发展、协调发展、绿色发展、开放发展、共享发展,处理好稳和进、立和破、虚和实、标和本、远和近的关系,坚持底线思维,强化风险意识,不断提高融入“双循环”新发展格局的能力和水平,闯出一条生态文明引领高质量转型发展的路子。
——坚持深化改革开放。坚持市场在资源配置中的决定性作用,破除一切制约姚安高质量转型发展的体制机制障碍。以城乡融合为主要着力点,主动服务、融入国家和省州发展战略,全面提高对外开放合作的水平,以大开放促进大发展。
——坚持系统观念。坚持问题导向、目标导向、结果导向,以系统思维加强前瞻性思考、全局性谋划、战略性布局、整体性推进,统筹发展与安全,着力固根基、扬优势、补短板、强弱项,注重防范化解重大风险挑战,实现发展质量、结构、规模、速度、效益、安全相统一。
第三节发展定位
立足于楚雄州建设成为滇中崛起增长极、现代农业示范区、民族团结进步示范区的发展定位和姚安县的区域资源优势、发展环境,以发展有机农业、打造休闲观光农业之乡、建设优质农产品交易集散中心为导向,把姚安建设成为宜游、宜养、宜居、宜业的文化旅游康养目的地。
——休闲观光农业之乡。以姚安没有大型工业污染,空气洁净度高,大气透明度高的独特、不可复制的巨大优势为基础,以绿色食品产业的发展为核心,以悠久的民族文化为依托,大力延伸生态产业链、拓宽产业价值链,致力农旅融合,以农促旅、以旅强农,把姚安打造成乡村旅游的滇中花园和全国休闲观光农业之乡。
——文化旅游康养目的地。大力彰显光禄古镇国家级历史文化名镇、全省重点开发建设型特色旅游小镇、全省第一批十佳宜居小镇和国家AAAA级旅游景区等品牌效应,充分挖掘光禄古镇、龙华寺、武侯祠、文峰塔等历史民族文化资源,利用马游梅葛文化生态保护区和特色旅游村、下口坝等生态资源和高原特色优质农产品资源,把姚安打造成全省文化旅游康养目的地。
——优质农产品交易集散中心。利用昆楚大高速、楚姚高速在境内贯通交汇及紧邻滇中城市群的优势,以昆明花拍中心姚安优质货源集货中心建设为契机,推动花卉、肉牛、蔬菜、水果等优质农产品的发展,把姚安建设成为楚雄州乃至全省优质农产品交易集散中心。
第四节二〇三五年远景目标及“十四五”发展目标
锚定二〇三五年远景目标,立足姚安欠发达基本县情,聚焦发展不平衡不充分主要矛盾,今后五年,全县要紧盯高质量发展的目标,保持“打基础、谋长远”的战略定力,坚持“防风险、补短板、争先进”的工作思路,推动实现以下主要目标。
一、二〇三五年远景目标
到2035年,在全面建成小康社会的基础上,再奋斗十五年,全县经济实力、科技实力、综合实力大幅提升,经济总量在全州10个县(市)中晋升到中游水平。基本实现新型工业化、信息化、城镇化、农业现代化,实现传统农业县向现代农业县的转型,成功融入楚中“1+4+1”城镇群和环楚雄“半小时经济圈”,成为滇中城市群楚雄大城市框架中的重要节点;基本实现社会治理体系和治理能力现代化,人民平等参与、平等发展权利得到充分保障,法治政府、法治社会基本建成;国民素质和社会文明程度达到新高度,文化软实力显著增强;广泛形成绿色生产生活方式,生态文明建设成效显著,美丽姚安建设目标实现;形成改革开放新格局,成为滇中连通滇西的重要枢纽;人均生产总值与全国的平均水平差距明显缩小,中等收入群体显著扩大,基本公共服务实现均等化,城乡区域发展差距和居民生活水平差距显著缩小;人民生活更加美好,人的全面发展、全县人民共同富裕取得实质性进展。
二、“十四五”发展目标
锚定2035年远景目标,到2025年,高质量绿色发展体系基本形成,综合经济实力稳步提升,经济总量和人均生产总值保持稳步增长;现代产业体系加速构建,三次产业结构进一步优化,依托交通区位优势的开放辐射带动能力不断提升,滇中节点城市知名度明显提高,科技创新能力显著提高,资源要素配置能力大幅加强,营商环境显著改善,社会治理现代化基本形成,基本公共服务体系进一步健全,社会主义现代化新征程顺利开启。
——经济发展跨上新台阶。全县经济保持高质量发展,经济增长质量和效益明显提高,力争地区生产总值在2020年基础上翻一番,突破150亿元,在全州排位力争前进1位;人均生产总值达到7万元,与州内其他县的差距进一步缩小。
——生态文明建设取得新进展。国土开发保护格局得到优化,蜻蛉河、石者河、一泡江三流域生态环境质量明显提升,生产生活方式绿色转型成效显著,能源利用效率大幅提高,生态环境保护管理体系初步构建,生态文明体制机制更加健全。
——现代产业体系构建进一步优化。资源节约、环境友好、规范有序的产业转型发展有序推进。产业协同创新体系日趋完善,全要素生产率大幅提高,核心竞争力明显增强。特色鲜明、技术先进、绿色安全、动态迭代的现代化产业体系格局加速形成。
——改革创新迈出新步伐。农业农村、财税金融、投融资体制、能源体制等重点领域改革取得突破;以企业为主体,市场为导向,产学研深度融合的技术创新体系基本建成,企业自主创新能力有效提升,重点产业领域科技创新取得新突破。
——对外开放形成新格局。全方位、宽领域、多层次、立体化的开放格局全面形成,作为滇中节点城市的区域发展带动作用进一步提高,开放辐射的功能进一步增强,开放型经济体系进一步完善,对外开放的活力得到激发、对外开放的质量显著提高。
——民生福祉达到新水平。脱贫攻坚成果得到有效巩固,居民住房条件进一步改善,公共服务体系进一步健全,人民对美好生活的需要得到更好满足。城乡融合发展机制基本建立,城乡统筹发展纵深推进,城乡基本公共服务标准体系更加完善;农业农村优先发展政策体系构建完善,新型城镇化战略和乡村振兴战略全面实施,人民的获得感、幸福感、安全感更加充实,更有保障,更可持续。
——社会治理能力得到新提升。社会公共服务体系、卫生健康服务体系、应急管理体系全面建成,政社互动、多元共治、充满活力、和谐有序的县域社会治理新格局基本形成。政府职能转变基本到位,行政效率和透明度明显提高,法治建设进一步加强。
第三章优化空间布局,打造姚安新发展格局
“十四五”时期,以姚安高质量发展为主线,结合楚中“1+4+1”城镇群和环楚雄“半小时经济圈”发展思路,充分遵循自然规律、经济规律和社会规律,按照资源共享、产业互补、重点突破、集群发展的思路,重点打造“一城、一廊、三流域”发展新格局。
第一节打造姚安坝子成为最具特色的田园之城
紧盯姚安坝子容纳全县总人口三分之二、地区生产总值达到全县三分之二的两个“三分之二”分布格局,通过南永公路和栋川至光禄的旅游大道为纽带,聚合姚安坝子,带动周边乡镇人口、产业和资源等要素,走城乡融合发展之路,提升县域经济的集聚度和向心力。统筹高原特色农业、民族文化旅游、商贸物流、现代服务等产业发展;突出抓好姚安坝子新型城镇化、积极整合土地资源,有效吸引人口及劳动力回流;强化姚安坝子交通等基础设施建设,改造提升东西环线,推进姚安坝子、高速公路下行匝道以及县乡道路的有效链接。以姚安坝子为核心区域打造全国现代农业产业园、全省绿色食品加工园、城乡融合发展的示范区,充分发挥坝子优势拉动县域经济发展,最终把姚安打造成为楚中“1+4+1”城镇群和环楚雄“半小时经济圈”中最具特色的田园之城。
一、推进栋川和光禄同城化发展
促进栋川和光禄相互融合、互动互利,推动共同发展;以存量资源带动增量发展,增强姚安城市整体竞争力。突出优势互补,相互依托,完善城市功能,形成辐射力、扩散力与竞争力越来越强的板块经济。功能布局以栋川和光禄作为姚安坝子的核心,突出城市政治、经济、文化、商贸和信息中心的功能,推进栋川、光禄同城化发展,辐射太平,实现姚安坝子的一体化发展,建设和谐宜居新姚安。
二、强化新型城镇化及产城融合示范
推进产业与城市功能融合、空间整合,以产促城,以城兴产,产城融合。重点聚焦吸纳农业转移人口以及两城同建产业支撑。按照“东边稳果、中间调菜增牛、西边扩花”的产业构建格局,适时调整姚安坝子高原特色农业的产业结构,着力推动休闲观光旅游、绿色食品加工、现代物流、健康养生等优势产业发展,带动姚安高质量跨越式发展。
三、建设楚中“1+4+1”城镇群和环楚雄“半小时经济圈”中最具特色的田园之城
加紧田园之城的规划编制工作,加快特色城镇建设步伐,按照功能定位有序推进县城分片区组团开发,形成建设规模与建设品质的同步提升,着力提高城市建设品位,充分展现姚安的田园之美、山水之美,凸显鲜明的城市个性、独特的城市风格。要以县城至光禄旅游专线为纽带,加快县城、光禄同城化和产城融合发展步伐,注重以城带乡、城乡一体,布局打造田在城中、城在田中的田园城市。注重培育田园景观,围绕城市布局有重点地培植花卉、园艺等观光农业。加快体现田园风光和“乡愁”“乡味”的景观建设步伐,实施一批市政道路、综合市场等重点项目,恢复一批特色街区,实现县城特色化与提质扩容同步。创新城镇管理长效机制,开展卫生县城、文明县城、森林县城、园林县城、美丽县城等创建工作,加大绿化、美化力度,着力打造楚中“1+4+1”城镇群和环楚雄“半小时经济圈”中最具特色的田园之城。
第二节构建昆楚大复线绿色经济发展走廊
抢抓昆楚大复线建设机遇,聚焦现代物流业、绿色食品加工业和健康服务业发展,着力提升沿线产业发展水平,构建绿色经济发展走廊,再塑县域经济转型发展版图。
一、构建绿色经济发展走廊
以促进空间结构更优、聚集程度更高、协同联动更强为着力点,着力构建绿色经济发展走廊格局,形成功能明显、优势互补的区域经济布局。通过加强领导,抓紧建立组织体系,完善规划方案,制定实施计划,高标准开展沿线环境、交通秩序、绿化彩化、建筑立面等整治提升工作,把昆楚大复线高速公路经济走廊打造成布局合理、产业集聚、要素集约、设施健全、景观美丽、管理有序、充满活力的绿色黄金廊道,再塑县域经济转型发展版图,推动姚安对外开放格局的跨越式发展。
二、打造廊点结合的绿色经济结合体
结合文化旅游业、现代物流业和健康服务业的发展目标,以昆楚大复线为廊,以县城出口为主要集聚区,以其他出口为点,形成“以廊为轴、以点联廊、廊点结合”的经济结合体。在高速公路出入口打造现代物流、健康服务和商贸集散中心,大力发展特色旅游、农旅体验,布局特色蔬菜瓜果、景观苗木种植,建设五彩生态果蔬、休闲垂钓、精品花木等特色项目,打造全国休闲观光农业之乡的集中示范点;在前场(新街)、大河口、官屯(巴拉鲊)等地因地制宜集中布局少数民族特色文化旅游和农旅体验、民族特色产品、石材加工产品、特色农产品和大牲口交易等市场。
第三节发展蜻蛉河、石者河、一泡江三流域产业经济带
突出蜻蛉河、石者河、一泡江三流域的地位,通过高水平保护和高质量开发,打造蜻蛉河、石者河、一泡江三流域经济发展带。
一、强化蜻蛉河流域经济产业带
以栋川和光禄为姚安坝子的核心,推进栋川、光禄同城化发展,辐射太平,实现姚安坝子的城镇协同和产业一体化发展。栋川镇:提升栋川县域政治、经济、文化、交通、物流中心地位,借助产业发展和交通区位优势,巩固发展高原特色农业、农产品加工业,孵化培育壮大大健康产业、数字经济产业、现代物流产业、“旅游+”等新兴产业新业态。光禄镇:依托栋川至光禄快速通道,统筹生态宜居荷城、鲜花小镇和光禄历史文化名镇协同发展,推动农旅融合,打造休闲观光农业产业带,建设文化旅游核心示范区。太平镇:出入姚安的南大门,对接南华发展的关键节点,着力建成姚安坝子“牛、花、菜、果”产业发展辐射区。
二、建设一泡江流域产业经济带
以官屯休闲观光旅游核心区为核心,带动弥兴、大河口和左门西部经济产业带发展。官屯镇:充分利用洋派水库旅游开发建设、梅葛文化旅游开发和高速公路建成通车的机遇,大力推进休闲观光农业体验之乡建设,打造农旅融合的休闲观光旅游体验区,逐步构建“马游梅葛文化体验—洋派水库休闲观光—光禄古镇历史名镇游览”黄金线,集中精力打造官屯、山坡核心区,抢抓机遇建成连厂、巴拉鲊物流辐射中心,改造提升传统产业。弥兴镇:依托资源优势,抢抓交通改善的契机,以“一园三区”为主导,集中培育“绿色蔬菜”主导产业,积极创建有机农业示范镇,打造县内西部经济产业带核心。大河口乡:依托昆楚大复线高速公路下行匝道带来的交通改善机会,做强做大现代烟草、高山河谷农旅休闲、滇西南建材加工及物流中转三大产业;面向祥云,提升开放水平;在稳定粮食面积基础上,巩固提升烤烟传统产业,培植发展“牛、花、菜、果”产业;改善基础设施和服务水平,农旅结合,做优高山河谷特色农旅休闲及农产品加工产业,实现经济社会提速换挡、跨越发展。左门乡:依托立体多样性气候和林地资源,以“三品一标”为主攻方向,着力发展中药材、魔芋、山药、核桃等产业。在保林护林的基础上,适度开发林下资源,壮大林下天麻、重楼等中药材种植规模,加快林下中药材有机认证;扩大魔芋种植规模,以“企业+农户+合作社+基地”的模式加快构建魔芋产业链,实现种植、加工、销售一体化发展,打造县域知名品牌;完善农旅产业,通过招商引资,将花椒园以及附近林地打造成农耕文化和森林漫步为主的休闲旅游运动基地。
三、构建石者河流域产业经济带
以昆楚大复线以及楚姚高速交叉点为核心,打造养殖、生态旅游、林下经济为一体的东部经济产业带。前场镇:以楚姚、昆楚大高速公路基础设施变革为契机,紧紧围绕“一村一品,一镇一业”产业发展目标,做强特色农产品加工;依托彝族文化旅游和林下经济资源,打造休闲观光膳养基地;依托传统养殖业基础,打造生猪养殖大镇,逐渐形成东部经济产业带的核心。适中乡:以交通改善为契机,加大开放力度,培育物流产业,建设“生态彝乡”,着力构建适中产业发展核心区,打造“适中生态经济林果”产业示范基地,突出“一村一品”,巩固提升烤烟、蚕桑、林果和畜牧业,打造姚安东门户、特色产业区、绿色生态乡。
第四节推进山区综合开发
发挥姚安山区林地资源丰富、农林产品众多等优势,以交通全面改善为契机,借助滇中城市群的区位优势,统筹推进山区综合开发。
一、做优做强山区经济
按照特色化、品质化、现代化的发展路径和规模化、专业化的经营方式,推动山区发展。加强战略统筹、空间布局、规划引导、改革创新,充分发挥山区资源的丰富性、文化的独特性、绿水青山的生态性等优势,做优做强山区经济。统筹推进山区综合开发与美丽乡村建设、生态环境保护,鼓励绿色经济试验示范,大力发展高效生态农业和生态旅游业,推进生态产业化、产业生态化,打通绿水青山向金山银山转化通道。建立山区综合开发生态环境影响评估审核机制,严格管控各类矿产资源开发,严禁污染型产业、企业向山区转移。
二、着力培育山区特色产业
充分考虑高寒冷凉山区、交通边缘地区的发展问题,分区域打造特色集镇、中心村,依靠集镇和中心村的带动加快发展,尤其是要着眼山林、草场和民族文化等优势资源,用好电商平台,着力培植特色产业,走出山区经济发展的特色路子,加快以城带乡、城乡统筹的协调发展步伐。
第四章坚持产业强县,着力完善现代产业体系
实施产业兴村强县行动,巩固提升传统产业,发展壮大特色优势产业集群,创建特色农产品优势区,打造“一县一业、一乡一特、一村一品”,提升绿色化、优质化、特色化、品牌化发展水平,推动农村一二三产业融合发展。加快发展现代产业体系,推动经济体系优化升级。实施产业兴县战略,坚持“两型三化”产业发展方向,聚焦云南省发展八大重点产业、打造世界一流“三张牌”和“5个万亿产业”、“8个千亿产业”等重大部署,对接楚雄州“1133”行动和“2+5+3”迭代产业体系等发展战略,结合姚安县产业基础和优势,打造五大重点产业集群,推进主导产业基地科学化、产业链现代化,形成特色鲜明、绿色安全、科学合理的现代化产业体系,为姚安县高质量跨越式发展提供坚实支撑。
第一节稳步发展高原特色现代农业
立足于区域资源优势和发展环境,充分发挥自身优势,聚焦农业主导产业,打造现代农业生产基地,提升农业科技化水平。
一、聚焦农业主导产业
以绿色食品牌为抓手,围绕市场和加工龙头企业需求,聚焦花卉、肉牛、蔬菜和水果四大主导产业,建设一批具有适度规模的时鲜花卉、绿色蔬菜、特色林果、生态肉牛、本土药材等特色农产品基地。充分考虑邻近乡镇、周边区域主导产业发展,形成区域间的联合与合作,逐步形成“一乡一特、一村一品”的区域板块布局。鼓励和支持农产品加工企业通过自建、共建等方式,建设规模化、专业化、集约化、标准化特色农产品基地。通过品牌培育、关键技术攻关、全程信息化生产、食源深度开发等方式,带动种养基地向规模化、标准化、品牌化、绿色化转变,促进农业生产环节增值增效。
二、打造现代农业生产基地
通过加强农田水利基础设施建设,以农业产业结构优化调整为导向,持续推进农村土地开发与整治,加快高标准农田建设和中低产田地改造。实施农田水利、田间道路、农田防护与生态环境保持、农田输配电等工程建设,重点加强水源工程、大中型灌区续建配套与节水改造。因地制宜推广节水灌溉、绿色防控等设施,强化土壤改良和地力培肥,推进机械化生产,提升基地规模化生产能力和水平。提高主导产业区域布局集中度,打破乡镇、村、组界限,连片规划、成片推进,建设标准化、规模化现代农业生产基地。
三、提升农业绿色科技水平
通过绿色标准化生产示范与引导,开展有机肥替代化肥、轮作休耕、水肥一体化、绿色综合防控等关键绿色生产技术集成、推广应用,进行绿色有机生产示范。大力推广绿色标准化生产技术,按照突出重点、科学规划、连片发展、标准化建设、产品可追溯的要求推进农产品标准化生产。推进农业标准化示范区、园艺作物标准园、标准化规模养殖场(小区)建设,推进绿色食品、有机农产品和农产品地理标志产品认证工作,加快健全从农田到餐桌的农产品质量和食品安全监管体系,实现农产品生产绿色化、标准化、专业化、规模化,为农产品加工、流通提供质量安全的原料来源。申报一批国家级、省级绿色产业认证基地。力争到2025年,全县建成绿色和有机产品生产示范基地10万亩以上、获得绿色食品和有机产品认证100个以上,农林牧副渔业总产值达到50亿元以上,农产品加工总产值达到80亿元以上,高原特色现代农业总产值达到30亿元以上。
专栏1高原特色农业产业重点工程 |
农业基础设施建设。范围覆盖全县9个乡镇。包括14万亩高标准农田建设项目,姚安县农业“五小水利”建设项目,农综开发、土地整理等项目,姚安县大中型水库移民2018、2019年基本口粮田及农田水利设施配套项目,姚安县土地整理项目,姚安县7万亩农田高效节水灌溉工程,新建10万亩智能化灌溉供排水管网配套设施设备等。 姚安县有机农业示范县创建。建设5万亩蔬菜、6万亩核桃、3万亩水果、1万亩花卉、0.5万头肉牛有机产品生产基地,认证有机产品20个、农产品地理标志(商标)10个以上。 农村能源建设。建设太阳能、节能灶、沼气池等能源设施。 林产业建设。建设5万亩核桃、2万亩花椒、优质水果及2万亩林药林菜基地,速生丰产林基地1万亩,林业产业集约化经营10万亩,推广封山保育、承包经营10万亩,新建野生食用菌烘烤房1000个,核桃烘烤房500个、立式核桃烘烤炉1万台,核桃脱衣去皮机1万台,核桃、花椒等经济林果配水工程水窖1万个;发展以珍贵乡土树种为主的观赏苗木和花卉、香料苗圃基地,推进林木种苗规模化、产业化、市场化,新建苗圃基地3500亩;扶持和新建核桃专业合作组织10个、野生菌专业合作组织10个;发展林产品网络销售平台,谋划发展电商5个。 姚安县绿色蔬菜产业联合体产业基地建设。建设高标准绿色蔬菜联合体生产、加工、营销基地。 姚安县万亩魔芋产业发展。在左门、适中、太平、前场等乡镇建设魔芋种植、加工、营销产业基地。 姚安县优质米产业建设。在栋川、光禄、官屯、弥兴等乡镇建设优质稻生产基地,在海埂屯县粮油收储公司内配套建设年生产加工5000吨优质米加工基地。 姚安县万亩有机蔬菜示范基地。在草海产业园区和弥兴坝子建设有机蔬菜生产基地。 姚安县2万亩智能化花卉无土栽培基地建设。围绕姚安至光禄旅游专线建设智能化花卉无土栽培基地。 姚安县优质梨产业发展。在前场、左门、太平3个乡镇建设优质梨生产、加工、营销产业基地。 姚安县万亩山药产业发展。在前场、左门、官屯等乡镇建设山药种植、加工、营销业基地。 姚安县2万亩高产蚕桑基地。在全县25个蚕桑基地村建设高产桑园2万亩,配套智能化育种、养殖、加工等联合体产业基地。 姚安县3万亩优质石榴基地。在姚安坝子仁草路沿线建设3万亩姚安软籽石榴基地。 姚安县渔产业建设。充分依托现有水库、坝塘、荷塘、稻田等水体资源,发展2万亩优质水产品养殖、加工、营销产业基地。 姚安县“一县一业”肉牛养殖产业化建设。新增年存栏10头以上肉牛规模养殖户1500户,发展10个肉牛专业村、50个合作社;全县肉牛存栏稳定在20万头以上,年出栏肉牛达10万头以上。 姚安县黑山羊产业发展。在前场、左门、适中、官屯、太平等乡镇建设10万只黑山羊养殖、加工、营销产业基地。 姚安县年出栏40万头生猪基地及产业化建设。建设年出栏200头以上标准化规模养猪场户500户,其中万头猪场10户、千头猪场50户。建设标准化猪厩200万平方米,建成年出栏40万头生猪产业基地。 姚安县特色蜂产业发展。依托菖河生态蜂蜜科技园,发展适度规模养殖,加大技改及蜂产品开发,做强做大蜂产业。 农业科技创新项目。建设数字田园、智慧养殖、农产品电子商务等综合性高科技智能型数字农业体系;推进基层农技推广服务体系建设,建立健全县乡村三级智能化农技推广服务体系;实施栋川镇基层农技推广服务体系建设项目,建立健全镇村二级智能化农技推广服务体系。 农业绿色发展项目。农业节水行动、耕地保量提质行动、农业面源污染整治行动、农林牧渔绿色发展行动等工程,覆盖全县9个乡镇。主要包括栋川镇农田智能化灌溉供排水管网建设,6万亩智能化灌溉供排水管网配套设施设备;以农作物化肥、农药减量增效、病虫害绿色防控,薄膜、农作物秸秆回收利用为主的农业面源污染治理;姚安县10000户畜禽养殖粪污无害化处理配套设施;姚安县农作物病虫害全程可视化监测预警及绿色防控体系建设,粮食、蔬菜、水果、花卉安全生产病虫害全程可视化监测预警及绿色防控技术体系配套设施建设。 |
第二节加快发展绿色食品加工业
深入贯彻落实省委、省政府打造世界一流“绿色食品牌”的部署和要求,全面推进绿色食品加工业的发展,加快发展农产品产地初加工,提升农产品精深加工水平,加强科技创新,打造“三化”现代产业园区。
一、加快发展农产品产地初加工建设
支持农产品保鲜、储藏、烘干、分级、包装等初加工设施建设,推动现有设施装备升级改造,加强花卉、蔬菜、水果、魔芋、核桃、中药材等特色农产品产后商品化处理,减少产后损失,促进农产品大幅减损增效。鼓励和引导畜禽产品产地屠宰加工,支持现有屠宰加工企业改造升级,全面提升畜禽产品初加工水平。推进初加工全链条水平提升,加快农产品冷链物流发展,实现生产、加工、流通、消费有效衔接。
二、提升农产品精深加工水平
加快开发适合姚安县特色农产品精深加工的新产品、新技术、新工艺,研发和引进特色农产品精深加工智能化、专业化设备,提升精深加工自动化和信息化水平。开展农产品精深加工技术生产应用,挖掘农产品加工潜力,提升增值空间。支持企业发展花卉、蔬菜、水果、魔芋、核桃、中药材、畜禽等精深加工,开发即食食品、休闲食品、方便食品、保健食品、医药产品,通过采用提取、萃取、纯化、分离等技术,生产高附加值、高技术含量的衍生品,推动产品系列化、多元化、多样化、个性化。鼓励企业开展跨区域精深加工,扩大主导产业产品规模。引导建设一批农产品精深加工示范基地,开发多元产品,引导农产品加工产业从一般性、大众型农产品消费为主向个性化、定制型食品消费转型,满足消费升级的市场需求,实现农产品多重转化增值。
三、加强农产品加工科技创新
突出农产品加工龙头企业的创新主体地位,与高校、科研院所共建研发机构和科技创新平台,构建产学研有机融合的科技创新体系。围绕农产品加工重点领域开展基础研究、前沿研究和共性关键技术研发,建设农产品加工技术研发体系和技术集成示范基地。提升花卉、蔬菜、水果、魔芋、核桃、中药材、畜产品等精深加工技术水平。加大生物、工程、环保、信息等技术集成应用力度,加快新型非热加工、新型杀菌、高效分离、节能干燥、清洁生产等技术升级,鼓励开展精深加工技术和信息化、智能化、工程化农产品加工装备研发。鼓励农产品加工企业自主设立或借助高等院校、科研院所现有平台联合设立研发机构,支持农产品加工企业技术改造和工艺创新,研发拥有自主知识产权的生产加工设备。
四、打造现代产业园区
以草海工业园区为核心,加强现代农业产业园公共基础设施建设,园区基础设施达到“八通一平”(水、电、路、信、网、气、排污、雨水收集和土地平整)。加强农机、设施、质检、储藏、保鲜、冷链、废弃物处理等农业要素建设,突出园区加工转化和产业融合功能,全面统筹布局生产、加工、物流、研发、示范、服务等功能,打造集标准化原料基地、集约化农产品加工、体系化物流配送营销网络为一体的现代产业园区。以农产品精深加工为发展方向,以农产品精深加工技术为支撑,促进特色农产品由初级加工向高附加值精深加工转变,由传统加工工艺向先进适用技术加工转变,由资源消耗型向高效利用型转变,由劳动密集型向技术密集型转变,加速农业高新技术产业化、规模化、集聚化。通过培育扶持一批产业关联度高、自主创新能力强的创新型中小企业,引进一批有机农产品精深加工业高端项目和国内外先进尖端技术、加工工艺、生产装备及管理水平的绿色食品龙头企业,提升园区农产品加工科技水平,深度开发一批科技含量高、附加值高、消费前景广阔的特色产品,打造知名有机食品品牌并进入高端市场,带动现有中小农产品加工企业形成产业集聚度高、核心竞争力强、专业化分工特色显著的有机农产品精深加工产业群。
专栏2 农产品加工提升重点工程 |
姚安县核桃青皮提取物加工。建设桃核青皮提取加工车间、提取物生产线及配套设施。 姚安县工业大麻种植及生产加工产业链。一期年加工工业大麻花叶400吨的生产规模,年产大麻二酚(CBD)和其他大麻素产品1.5吨;二期、三期规划年加工工业大麻花叶1000吨的生产规模,年产CBD和其他大麻素产品5吨以上。 姚安县5万吨畜产品精深加工。建设标准化生产车间、冷鲜库,购置加工设备,配套建设管理用房等,实现年加工2万吨分割肉的生产能力。 姚安县蔬菜脱水加工。建立加工产房、库房及配套设施建设。 姚安县石榴深加工。建立加工产房、库房及配套设施建设。 姚安县光禄蓝莓种植及系列产品开发加工。在光禄镇种植蓝莓3000亩,新建蓝莓种植基地、蓝莓系列产品研发及标准化厂房。 年收购加工2500吨核桃干果系列产品加工。在草海产业园区新建年收购加工2500吨核桃干果系列产品。 年产5000吨特色农产品加工(二期)糯山药速冻加工。在草海产业园区采用国内先进液氮速冻工艺技术,建设速冻生产线两条。 雨生红球藻规模化养殖及虾青素提取。在草海产业园区建设雨生红球藻规模化养殖及虾青素提取基地,年产雨生红球藻干粉36吨。 姚安县芥菜加工。在草海产业园区建设芥菜标准厂房,建设芥菜加工生产线及设备安装。 姚安县菜籽油加工。在草海产业园区基地建设,年产菜籽油2000吨。 姚安县万吨有机肥加工。在草海产业园区建设生产车间,储粪区,发酵池,成品车间,配备加工设备一套及配套管理房等,实现年加工1万吨有机肥的生产能力。 姚安县左门乡天麻核桃乳加工。包括原料库、加工车间、成品库、综合办公楼、配电房等建设;以及购置生产设备及辅助设备,配套建设道路、围墙、大门、供水、供电、环保、绿化等设施。 姚安县高原特色肉牛精深加工。位于姚安县工业园区,建设生产车间、冷鲜库及污水处理设施,加工线及配套管理房等,实现年加工3万吨分割肉的生产能力。 姚安县牛骨粉加工。位于姚安县工业园区,建设牛骨粉生产加工标准化车间及生产线、配套设施。 姚安县高纯度膳食纤维加工。位于姚安县工业园区,建设高纯度膳食纤维加工厂,包括生产车间、消毒车间、原料仓库、包装车间、办公区等设施。 姚安县石榴果酒(汁)系列饮品生产加工。位于姚安县工业园区,建设占地面积为30亩的石榴果酒(汁)系列饮品生产加工基地,建设石榴汁饮料生产车间、自动化生产线、库房、冷库、酒窖、办公用房等配套设施。 |
第三节创意打造旅游文化产业
围绕“全国休闲观光农业之乡、全省文化旅游康养目的地、优质农产品交易集散中心”的发展定位,依托丰富的民族文化、深厚的历史文化以及高品质的自然景观等资源优势,通过完善旅游基础服务设施,创新旅游产品体系,提升旅游要素供给能力,加强旅游跨区域、跨产业融合,加大旅游品牌建设,推进旅游重大项目建设等措施,有效服务于姚安县社会经济的双循环发展,使文旅产业真正成为全县的战略支柱性产业与带动全县经济高质量发展的动力发展轴。
一、拓展文旅融合发展空间
推进跨区域的融合发展。有效承接大滇西旅游环线所带来的客源群体,深度融入楚雄半小时经济圈、大理一小时旅游圈、昆明两小时都市圈,主动对接大滇西旅游环线,实现跨区域间的市场、资金、客源整合,拓展姚安县文旅产业的区域发展空间。推进县域资源的融合发展。优化整合县域内部文旅资源,按照“一核两翼三带”的文旅产业发展布局,在空间格局上,由光禄古镇为核心的中北部集聚发展,转变为以光禄古镇为核心并向马游梅葛文化生态园、稗子田观星基地等县域南北向、东西向区域拓展的全域空间发展格局;从产业结构上,由传统观光旅游目的地向以“文化体验、康养度假、星空旅游”为主题的高品质旅游目的地转变;从产业效益上,由低产业附加值的产业发展向综合带动能力突出的高附加值文旅产业转型,形成县域内部旅游要素的产业聚集。推进跨产业的融合发展。按照“全省文化旅游康养目的地”的发展定位,构建以“光禄古镇”文旅品牌为引领的“旅游小镇+高原特色农业+湖泊休闲+星空特种+宗教文化(龙华寺、德丰寺)+民族文化(马游梅葛)”的全域旅游产业链条,促进文旅产业与农业、绿色食品加工业、大健康产业、现代物流业、金融业、信息产业等产业的融合发展,培育发展数字创意、动漫网游、云媒体服务、文化电商等新业态,拓展姚安县文旅产业发展空间。
二、提升文旅要素供给能力
打造姚安美食谱系。依托菖河蜂蜜、姚安套肠两大非物质文化遗产和藕粉、山药、百合等土特产品资源,深入挖掘姚安餐饮文化资源,打造一批姚安美食老字号和特色餐饮品牌,推出土司宴、全藕宴、乡村宴、荷花宴、玫瑰宴,打造高、中、低档次相结合的特色餐饮体系;结合打造县城“文化商品一条街”,建设一批特色餐饮集群区和美食街区;举办姚安荷花节美食大赛、美食非物质文化评选、美食研讨会、厨师大赛等系列活动,加强姚安美食文化的宣传和影响力。完善旅游住宿业体系。鼓励引入一批国内外高品质、有特色的星级酒店,重点在县城、光禄古镇等区域推动至少1—2个五星级酒店、2—3家品牌酒店的落户;以洋派水库、下口坝水库等湖泊、温泉资源为依托,推动打造一批亲水类康养度假酒店;推动引入一批亲子主题、艺术主题等的特色主题酒店,丰富姚安县酒店业的住宿文化;推动打造一批特色民宿品牌,大力发展特色民宿、休闲养生山庄、精品农庄、精品客栈、特色短租公寓等多类型、多层次的民宿酒店业态,推动50家以上民宿示范点的落户;鼓励打造5—10个网红民宿和高端特色民宿集群,引入国内外有特色、高品质的民宿品牌落户姚安,打造网红民宿休闲旅游打卡目的地。便捷旅游交通体系。通过强化姚安县汽车客运站与南华动车站、祥云动车站的联动发展,完善姚安对外旅游交通网络体系;通过加强县城与全县主要景区,特别是与光禄古镇的公交客运系统的服务班次与时间,提升旅游交通主干道、景区连接线、全域旅游系统通达品质,构建完善的内外交通网络体系;通过高速公路服务区景点化经营、完善自驾游信息服务系统、提升自驾游设施服务系统、建立自驾救援服务系统等措施,加强姚安县自驾游与自助游服务体系建设。开发特色旅游商品。加快文化旅游商品创意、包装设计和工艺制作改进,开发彝族刺绣、服饰、地方特色产品、中药材等具有民族和当地特色的旅游商品,建设一批主题休闲购物街、特色旅游购物商店和特色旅游商品研发基地,提升“购”的体验和品质。提升文化娱乐体验。创新旅游文化产业新业态,打造夜间休闲旅游产品,做活夜间经济;结合梅葛花灯展演、舞龙舞狮表演、古镇国学教研活动等非物质文化遗产展示展演,打造丰富的特色旅游活动,构建全时休闲旅游格局,丰富文化休闲娱乐体验。推进旅游标识系统建设。在县城、光禄古镇、洋派水库、马游梅葛文化生态园、观星基地等主要景区布局景区全景图,景区内部设置景点解说牌;在高速公路出入口、主要交通干道、旅游交通沿线区域完善旅游交通标识系统;完善停车场、旅游厕所、特色民宿、特色餐饮等处的旅游标识,实现旅游引导的规范化、标准化。在旅游标识中充分融入当地文化元素,设计体现当地特色。
三、推动文旅重点项目建设
以项目建设为载体,以融合发展为路径,全力推动全县文化旅游重大项目建设。加快光禄古镇旅游度假区综合开发、姚安天文观星科研科普教学基地、洋派水库旅游综合度假区、金秀谷康养特色小镇、马游梅葛文化生态园、姚安县休闲农业和乡村旅游精品工程等一批重大项目建设;加强传统村落集中连片保护和历史古建筑保护,实施好全国美丽乡村旅游扶贫重点村、特色旅游村建设,创建一批文化生态旅游村和民族特色村寨。不断提升发展质量,最终将姚安县建设成大滇西旅游环线上著名的休闲观光农业之乡、云南省极具特色的“乡村康养旅游目的地”和西南地区知名的“星空特种旅游城”。
四、创新文旅营销方式
加强品牌塑造。依托厚重的“一座姚州城,半部云南史”的历史文化资源,大力优化现有旅游形象品牌;深入实施增品种、提品质、创品牌的“三品”战略;推动制定完善相关评价标准和制度规范,建立动态管理机制,认定和培育一批文化特色浓、品牌信誉高、有市场竞争力的地方民族品牌和老字号,打造具有国际竞争力的文化旅游品牌。创意打造旅游IP。通过创作一批以姚安县历史文化、民族文化为题材,彰显姚安县文化旅游特色的电影、电视剧和微电影;出版一批体现姚安历史文化的宣传画册和出版物等措施,做好旅游IP设计,做好旅游IP营销,推动文化IP向旅游IP的转变与延伸,不断加强文化旅游品牌形象宣传推广的力度。创新旅游营销方式。积极推进智慧旅游体系建设,完善旅游信息服务体系,构建以旅游大数据为依托,积极接入“一部手机游云南”平台,对接微信、抖音、直播平台等多种新媒体,建立全媒体信息传播机制。实施旅游精准营销。推动实施互惠互利营销政策,加强与海外主要客源城市建立国际旅游精准营销联盟,进一步吸引海外增量客源;推动建立与线上旅游企业的合作营销,提升姚安县旅游产品和线路的知名度;推动打造跨区域、跨平台、跨网络、跨终端的旅游目的地网络营销体系。
专栏3 培育文旅产业重点工程 |
姚安县马游梅葛文化生态园。位于官屯镇。主推彝族梅葛文化特色旅游,提升改造现有道路基础设施建设,建设旅游公路、游客接待中心、步道、道路景观、休息亭、景观台、旅游厕所等旅游基础设施。 姚安县洋派水库旅游综合开发。主推与水文相结合的特色旅游综合体,打造以体育运动、休闲娱乐、垂钓、康体疗养、美食休闲于一体的旅游示范乐园。 光禄古镇特色小镇旅游综合开发。建设古镇核心区、小镇引爆区、入口公共服务及停车区。 禅意生活度假体验区。依托于国家级文保单位龙华寺天然的禅宗文化资源来打造禅修度假产业,以“禅修”为主题定位,打造集禅体验、禅悟道、禅养生、佛禅研学为一体的区域性禅意生活度假体验区。 滇中天文科普科研教学基地。建设旅游公路、游客接待中心、步道、道路景观、休息亭、景观台、旅游厕所等旅游基础设施,建设天象观测基地、天文科普基地、学术交流中心、半山酒店、天文馆、科研馆、科普园、观星台、游客中心、足球场、水生植物园、绿化工程、亮化工程等。 龙华寺修缮。全面接顶维修,门窗防虫防腐处理,寺院整体基础加固,安防、消防系统和防雷施设维修,配套智慧停车场、管理用房、停车场、充电桩等旅游基础设施。 李贽桥修缮。修缮桥的主体、基础加固、河道疏通、周边环境整治、标识牌标志碑。 德丰寺修缮及消防配套设施。建设整套消防设备及消防水池,房屋全面接顶维修,柱子一麻五灰修缮,配套防雷系统、集装厢式文物库房、标识标志碑等。 姚安县图书馆。建设外借室及书库、报刊阅览室、少儿阅览室、电子阅览室,期刊库兼查阅室、报刊库兼查阅室、地方文献库、多功能报告厅、采编室、宣传室、室外花园读书区、文化长廊、亭子、景观、绿化工程、停车场等。 姚安县博物馆。打造李贽纪念馆、高雪君纪念馆、历史文化展厅、民族文化展厅、生态文化展厅、文物库房等,建设室外景观、绿化工程、停车场等。 姚安县文化馆。建设展览厅、小剧场、创作厅、各类培训室、多功能报告厅、10间文艺队日常排练厅、文艺队成果展厅、创作厅、音乐厅、休息室等设施。 姚安县五星级酒店。在栋川镇、光禄镇建设集娱乐、住宿、餐饮、商务活动、会议服务、健康养生等为一体的五星级酒店。 光禄镇半山酒店。主题酒店包含酒店停车场、休息大厅、音乐卡座、大中小会议室及报告厅、餐厅、健身房等,配套建设智慧化停车场、观景平台等附属设施。 姚州影视基地。深度挖掘古代姚州“光禄八境”,依托历史文化景点,建设集影视拍摄、后期制作于一体的仿古建筑群。 全县村史馆建设。全县建设77个村史馆,每个村史馆占地面积1000平方米、建筑面积500平方米,配套绿化、亮化、道路、旅游厕所等功能设施。 黄莲箐景区旅游综合开发。主推历史文化和自然风光,占地面积900亩,新建旅游公路、停车场、充电桩、旅游厕所4座(2A标准),新建AAAA级民宿客栈,旅游步道,智慧旅游设备,餐饮服务中心,休闲公园,村庄房屋除险加固及外立面风貌改造,绿化亮化工程。 姚安“三国”文化旅游产业园。依托姚安在诸葛亮南征古战场中的重要地位,以“三国”时期历史人文资源为优势,从政治、军事、科学、人文等方面,全方位再现三国时期社会原貌,将项目打造成大规模、高品位、系统性的“三国”文化传播中心。 啊依哆民族风情谷。主打民族文化品牌,以南永公路沿线和太平镇老街村、各苴村为核心,打造啊依哆彝族文化和自然风光。 |
第四节推进现代物流产业
借助云南省将现代物流业作为五个万亿级支柱性产业之一打造的契机,紧紧抓住昆楚大复线和楚姚高速公路全面建成通车的重大机遇,以四个高速公路出口为要素集聚点,结合本地资源禀赋,建设“枢纽+道路+网络”多层级的现代物流体系,通过构建科学合理的现代物流产业体系、推进重大项目建设、提升物流科技水平、打造乡村电子商务链等措施,促进现代物流产业的快速发展,将之培育成为姚安县经济发展的重要增长极。
一、全面系统构建现代物流新体系
围绕把姚安县建成中国通往南亚、东南亚大通道上的重要节点的目标,发挥姚安位于楚雄半小时经济圈、大理一小时旅游圈、昆明两小时都市圈的“三圈”交汇节点以及连接滇中、滇西和川南的区位优势,以信息技术为支撑,以提高物流效率和降低物流成本为目标,实现做大流通规模、提高流通产业贡献度和对外开放度三大目标,突出夯实发展基础、推进现代流通、扩大对外开放、培植流通主体四大重点,坚持节点与区域联动的原则,通过调整交通结构、转变发展方式,在空间上形成“一核、多点”的物流服务群。通过以栋川为中心物流服务核心区,光禄、前场、大河口为次中心,利用现有物流节点资源,建设栋川物流基地、栋川综合物流园区、光禄蔬菜农产品物流园区、前场高原特色农产品物流园区4个物流节点,从而形成以县城为主,4个高速公路出入口为辅,物流基地、物流园区为节点的“通道+枢纽+网络”现代物流体系。
二、持续推动重点项目建设
按照把姚安县建成“滇西乃至东南亚、南亚的农产品物流中心,面向东南亚、南亚的蔬菜和特色农产品对外出口加工基地”的现代物流发展定位,通过重点打造1个一级客运站、1个交通商业中心、9个乡镇物流中心、1个新能源公交枢纽、1个物流园区等重点项目,把现代物流产业培育成为姚安县经济发展的重要增长极,带动生产性服务业向专业化和价值链高端延伸。
三、不断提升物流科技水平
鼓励企业采用专用物流技术装备,推进运输装备专业化、结构合理化、轻型化、快速化和标准系列化,开发与推广先进适用的仓储、装卸等标准化专用设备,不断提升物流装备现代化水平。加快建设物流综合信息服务协同平台,构建与省内外和东南亚地区主要城市物流信息平台系统互联、信息共享的物流信息网络体系。
四、加快现代物流人才培养和引进
积极引进国际现代物流企业先进的经营理念、管理经验和模式,通过与高校的定向培养、委托培养,加强职业技能教育,引进国内外优秀物流专业人才等多种方式,培养和引进物流职业经理人、企业高级经营管理人才、物流技术人才、物流经纪人等高层次人才,探索建立一套强有力的现代物流产业人才支撑体系,为现代物流业的快速发展提供人才支撑和智力保障。
五、不断完善乡村电子商务建设
以电子商务示范县建设为契机,通过推动综合性电子商务平台、农业电子商务平台、区域性电子商务平台等各类电商平台建设与完善,建立农产品供应链管理信息系统,构建完善的农业物流运行支撑环境,加强农村电子商务人才队伍建设,引进跨境电子商务和知名跨境电商,整合电商物流资源,完善县、乡(镇)和村三级电子商务培训孵化和物流服务体系,形成完善的电子商务产业链。力争到2025年,全县建设完善1个电子商务公共服务中心、9个乡镇电子商务公共服务站、40个村级电子商务公共服务点,建设完善1个物流配送服务中心、9个乡镇物流配送服务站、40个村级物流配送服务点,实现工业品下乡、农产品进城双向流通,形成完善的电子商务产业链。
专栏4 培育现代物流产业重点工程 |
昆明花拍中心姚安优质货源集货中心。新建占地面积200亩滇西花卉拍卖暨交易中心,包括:花卉拍卖交易中心、现代仓储包装车间和冷链物流信息平台等。 姚安县一级客运站。新建占地150亩的一级客运站。 姚安县交通商业中心。建设大型停车场,配套建设汽车商贸城(汽车销售、维修、装饰、美容)、加油站、加气站及商业服务中心等。 姚安县九个乡镇物流中心及智慧交通一体化建设。包括停车场、站前广场、售票厅、综合服务中心,配备智慧化管理服务设施。 姚安县新能源公交枢纽。栋川镇建设新能源公共交通服务中心,配套建设停车场、充电桩等设施。 姚安物流园区。县城建设物流园区,配套建设物流服务辅助设施。 姚安县现代物流智慧交通建设。货运信息平台建设、预约网络运输等系统建设、设备购置、管理用房、仓库、停车场建设。 姚安县前场镇冷链物流农贸市场。建设物流集散中心、农副产品深加工厂、冷库、贸易区、停车服务区及配套设施等。 姚安县滇西高原特色现代农业科技物流园。在草海产业园区新建现代科技冷链物流中心、滇西农产品一级流通中心、网络电子信息交易平台、农产品交易中心、科技培训中心等。 姚安县电子商务公共服务中心。以“一中心九功能区”为格局,建设1500平方米电商综合性服务平台。“一中心”即姚安县电子商务公共中心,“九功能区”即姚安工业园区党群活动服务中心、电商大数据中心、县级电子商务公共服务中心、创业孵化中心、电商培训中心、产品展示中心、农特产品研发中心、科普中心、创客交流中心。线上建设电子商务公共服务体系、农产品智慧供应链体系、农村智慧物流配送体系、电子商务大数据体系、无人零售生鲜配送体系。在全县9个乡镇配套建设40个村级电子商务服务点。 姚安县综合冷链物流建设。在草海工业园区建设综合冷链物流中心,重点建设综合办公楼、初加工车间、周转仓库、配套设施、加工车间、常温周转仓库、成品保鲜库、农产品交易中心、物流停车场。 大河口乡高原蔬菜冷链物流中转站。建设高原蔬菜冷链物流中转站一座。 姚安县高速公路旅游商品集散中心。项目依托姚安县各大产业基础和交通区位条件,建设旅游商品集散交易中心,以“互联网+”为发展方向,完善姚安物流体系,促进本土商品销售。 前场镇大型仓储冷链物流交易市场。在前场镇新街社区建设1个大型仓储冷链物流交易市场覆盖9个村(居)委会。 姚安县物流综合服务中心。项目位于栋川镇,建设集电子商务交易、展示、仓储、物流、运输为一体的物流中心。 姚安县大蒜仓储交易物流中心。在前场镇建设大蒜仓储交易物流中心1个。 姚安县高速公路出入口物流中心。在楚姚高速和昆楚大复线姚安段4个出入口规划建设物流中心,总占地面积800亩。 弥兴镇铁路商贸物流中心。对现有的弥兴镇小苴火车站进行改造,建设配套物流配送、物品装卸搬运、物流金融、物流服务、电子商务等服务,建设辅助用房,配套排水、绿化、停车场等基础设施。 |
第五节推动健康服务业发展
“十四五”期间,着力建设楚中“1+4+1”城镇群和环楚雄“半小时经济圈”中最具特色的田园之城,把姚安建成“康养福地”、“养生天堂”,着力构建覆盖全生命周期、特色鲜明、内涵丰富、形式多样、体系完整、结构优化的康养产业体系,基本形成层次丰富,“医、药、食、养、游、管”六位一体的产城融合康养产业发展模式。依托现有的中彝医药、民族民俗文化、生态环境等优质资源,通过推进金秀谷康养小镇等重点项目落地建设,构建“一核五区”的健康服务业发展格局,着力打造“健康生活目的地”示范区。
一、科学构建“一核五区”的健康服务业发展
“一核”即以金秀谷康养小镇为核心引领,“五区”即以前场、太平、适中等东部片区为主要区域的中草药种植区,以光禄为主要区域的医疗养老、中草药加工区,以洋派水库为主要区域的康体运动区,以龙岗为主要区域的心理康疗、温泉康疗、森林疗养、鲜花心理疗养区,以马游为主要区域的民族文化养生、中彝医药养生区,以左门、大河口等西部片区为主要区域的生态体验区。对标“健康生活目的地”的打造标准及要求,推动形成具有地域特色的康养产业发展新格局。
二、推动重点健康服务业协调发展
积极促进医、养、健、游四大系统的生态互动,推动医疗医药、养生养老、健身休闲、健康旅游四大产业的共享发展;重点着力打造生态养生、马游文化养生、中彝医药养生、康体运动、康体养老、健康管理、医疗旅游、文化旅游八类康养产品;以现代生物及食品高科技为支撑,依托现代化康养类企业,加快发展健康食品制造,发展中彝药膳、保健食品、有机食品、绿色食品等各类大健康食品、日化产品和康养旅游产品,把姚安打造成健康云南、健康楚雄的样板县。
三、加快发展生物医药及智慧健康产业
充分发挥政府财政扶持资金的引导作用,加快发展生物医药产业,构建现代化生物医药产业链和产业集群;紧跟大健康产业发展呈现出的高科技化、精准化、智能化、融合化、国际化的发展趋势,加快发展智慧健康产业,促进互联网、云计算、大数据、区块链技术与健康服务产业融合发展。进一步满足人民群众多层次、多样化的健康需求,通过着力发展健康养生产业为姚安县经济社会发展赋予新的动能。
专栏5 培育健康养生产业重点工程 |
姚安县康养产业中心。位于光禄镇。包括国医馆、康复医疗中心、康养酒店、会务中心、餐饮、服务用房、室外中草药种植示范基地等。 姚安县官屯镇中草药连片种植基地。在官屯山区片区建设规模化重楼、当归、附子等中草药育苗、种植基地,配套建设水电路等基础设施,建设中草药加工工厂1座。 姚安县金秀谷康养小镇。位于栋川镇,建设集休闲、旅游、康养为一体的康养小镇模式,规划建设旅游停车场等附属设施。 姚安县2亿粒荷叶素中药饮片加工。位于草海产业园区,引进荷叶素提取技术,建设生产车间及其附属设施,购置安装荷叶素提取设备等。 姚安县前场镇中草药产业园区。建设中草药育种基地、研发中心及中成药加工厂。 姚安县有机天麻精深加工。位于姚安县工业园区,建设有机天麻深加工生产车间、生产线及配套设施。 姚安县年产2万吨中药饮片生产加工。建设中药饮片加工厂及年产2万吨的中药饮片生产线。 姚安县中药材交易中心。建设包括交易厂房、检验检疫设备设施的交易中心。 姚安县中药材提取物生产加工。建设中药材提取加工车间及破壁生产加工线,配套建设原料晾晒场地、药材储备库等。 姚安县中药配方颗粒生产加工。建设中药配方颗粒生产车间、包装车间、成品库及配套设施。 姚安县中药健康饮品生产加工。建设精加工厂房、原材料仓库及成品仓库、冷冻库、干燥房及配套设施。 姚安县生物医药大健康产业园。生物医药大健康产业园建设。 姚安县运动员康复疗养及户外拓展基地。运动员康复疗养及户外拓展基地建设。 姚安县老年康复管护中心(PPP)。新建老年康复管护中心综合业务用房。 生物彝药康养中心。位于前场镇新街社区。建设康养中心,结合彝药康养原理设置彝药熏蒸室、保健室;研究推广日常药膳吸引游客;推出康养健身项目。 姚安县国际养生养老产业城。新建高端养老、护理培训学校、五星级度假酒店低层客房群,形成旅居加养老和运动商务复合型的大健康产业集群。 健康医疗大数据应用示范中心及产业园建设。建设健康医疗大数据交易平台、应用示范中心及孵化平台、全产业链大健康产业园及相关平台、国家健康医疗开放大学及平台等。 |
第六节着力培育新兴产业
培育信息技术、生物技术、新能源、新材料等产业,推动互联网、大数据、人工智能等同各产业深度融合,培育新技术、新产品、新业态、新模式,推动产业由中低端向中高端转型。推动现代服务业同数字经济深度融合,加快发展“健康+、养老+、幼育+、文化+、旅游+、体育+、家政+、物业+”等数字经济新业态。加强新能源产业公益性、基础性服务供给,推进新能源产业高质量发展。
一、推动数字经济产业发展
培育和引进数字经济龙头企业,推进骨干企业数字化改造。以工业互联网为重点,加快产业互联网建设,加快农业数字化转型,促进服务业数字化发展,深化新一代信息技术与实体经济深度融合、与绿色经济发展有效衔接。实施云数据赋能行动,构建“生产服务+商业模式+金融服务”的数字化生态体系,推动“互联网+”向“智慧+”演进,促进融合创新。规划建设数字经济产业园区。建立健全农产品质量安全追溯体系,积极宣传推广应用云南省区块链溯源“孔雀码”。加强数字社会、数字政府和智慧城市建设,提升公共服务、社会治理数字化智能化水平,推动信息惠民便民。
二、推进新能源产业发展
按照“滇中成网、干线联动、点状布局”的总体思路,充分发挥云南电网公司、云南能投集团、云南省楚雄交通运输集团有限公司姚安分公司等骨干企业的带头引领作用,积极引进国内知名充电设施建设运营企业,加快完善充电基础设施建设;大力引进实力较强的新能源汽车电池运营企业,推行纯电动乘用车换电商业服务模式,推进新能源汽车产业布局。积极对接谋划氢能源产业发展,抢占云南省氢能源发展高地。
第五章坚持城乡融合,着力打造特色田园城市
优化姚安坝子国土空间布局,实施六城同创,以“美丽县城”建设为抓手,聚焦“干净、宜居、特色、智慧”四大要素,着力建设楚中“1+4+1”城镇群和环楚雄“半小时经济圈”中最具特色的田园之城,强化栋川、光禄两城同城化发展。全面加快以人民为中心的新型城镇化步伐,着力布局好路网、水网,提升城镇综合承载力和可持续发展能力,促进城乡融合发展,着力构建宜居宜业的美丽城乡融合协调发展典范。
第一节优化城镇布局
坚持以人为核心的新型城镇化建设,以滇中城市群发展规划为引领,以打造楚中“1+4+1”城镇群和环楚雄“半小时经济圈”中最具特色的田园之城为抓手,加快推进姚安新型城镇化建设步伐,加快城乡融合发展,把县城打造成滇中城市经济群中最具乡愁乡味的滇中城市群新型节点城市。
一、加快形成“一轴两城六片区”
在用地空间发展上遵循“两城拓展、中心控制、紧凑集约”的方针,形成“一轴两城六片区”,栋川城区向西北发展,光禄城区向南发展,两城区沿姚安坝子向西山集聚,城市布局不跨越南永二级公路。城市工业用地集中布置在草海农场。以姚安县城至光禄的旅游大道为纽带加快光禄古镇开发建设,努力形成县城以宜居生活为主、光禄以特色旅游为主的“一城两核”城市布局,形成以栋川镇为中心和北以光禄镇、西以弥兴镇、南以太平镇、东以前场镇为辐射的城镇群,以及小集镇、新型农村社区、特色村庄协调发展、互促共进的城镇化布局。
二、规范发展特色小镇
规范发展特色小镇和小城镇,加强以乡镇集镇为中心的农民生活圈建设,推动镇村联动发展,带动农业现代化和农民就近城镇化,提高城镇化率;加大中心集镇发展力度,提升集镇功能,鼓励农民就近进入集镇生活和工作,构建“15分钟便民生活圈”,增强城市对农村的带动力,促进城乡一体化发展。充分展示民族文化,加强重点地段、重要类型建筑风貌管控,深入实施高速公路、城市主次干道、标志性建筑和重大公共场所立面等特色风貌打造工程。以民族文化特色为主题,推进地标性建筑、重点商业街区、临街橱窗夜景打造。
第二节健全城乡融合发展体制机制
健全完善城乡融合发展体制机制和政策体系,建立工农互促、城乡互补、全面融合、共同繁荣的新型工农城乡关系。以农村综合改革为根本动力,促进城乡要素自由流动、平等交换和公共资源合理配置,破解城乡二元结构,促进城乡融合发展。
一、促进城乡资源要素流动
规范发展特色小镇和小城镇,加强以乡镇集镇为中心的农民生活圈建设,推动镇村联动发展,带动农业现代化和农民就近城镇化,提高城镇化率,增强城市对农村的带动力,促进城乡一体化发展。促进产城融合,加快农业转移人口市民化,全面放开放宽城市落户限制。加快实现城镇基本公共服务常住人口全覆盖。全面落实支持农业转移人口市民化的财政政策和城镇建设用地扩大规模、吸纳农业转移人口落户数量挂钩政策。维护进城落户农民的土地承包权、宅基地使用权、集体收益分配权,支持引导其依法自愿有偿转让上述权益。
二、稳步推进农业转移人口市民化
充分尊重农业转移人口市民化意愿和人口流动规律,推动县城及周边原有居民市民化一批、促进农村居民就近就地市民化一批、鼓励稳定就业生活的城镇非户籍人口市民化一批、引导搬迁撤并的部分农村居民市民化一批等“四个一批”,加快推进农业转移人口市民化。全面放开城镇地区户口迁移政策,探索建立以经常居住地户口登记的政策措施。畅通社区集体户口和民营企业集体户口落户通道,积极稳妥做好易地扶贫搬迁人员户口迁移。推动常住人口教育、卫生、就业、养老、住房、安全等城镇基本公共服务全覆盖。
第三节推进新型城镇化健康发展
以县城为中心,发挥辐射带动作用,加大小城镇规划、建设、管理力度,抓好农村新民居和文明生态村建设,推进城乡一体化发展。
一、提升城市规划与建设水平
围绕构建“中国福地、福禄之城、文化姚安”,高起点做好特色城镇规划,把姚安深厚的历史文化融入规划工作,凸显福禄文化,充分挖掘彝族文化内涵,以彝族文化为主体,多民族文化并存,精心搞好建筑特色设计,注重建筑造型、色彩、风格协调一致,彰显历史之韵、生态之灵、文化之魂;规划思路重视水景、园林布局,融入水园活城;以美丽县城、美丽乡镇和光禄特色小镇建设为抓手,积极推进零散自然村向城镇、中心村和新型社区集中,推动产业培植、基础建设、城镇开发三位一体协调发展。
二、提升城市形象和品质
持续推进“美丽县城”建设,充分满足农村居民日益增长的进城置业安家需求,持续改善城郊结合部的人居环境,提升公共服务能力,构建“15分钟便民生活圈”。按照打造田园之城的目标要求,强化县城周边人居环境整治,促进县城建设与整个姚安坝子环境提升。紧紧抓住城乡建设用地增减挂钩试点县的政策机遇,加快推进美丽乡村建设,做到既按城镇建设思路配套功能设施,又充分体现农村人文特征和自然资源特色,展现优美宜居的城乡新形象。
三、加强城镇基础设施建设
全面改善县域环境面貌,创造优良生态环境,改善城镇人居环境和投资环境。大力实施城乡供水一体化、垃圾污水收集处理等项目,加快县城周边和集镇的基础设施和生态环境建设。加快推进老旧小区改造,实施以老城区改造为重点的城镇综合整治,进一步提升城镇环境承载力。聚焦“特色、产业、生态、易达、宜居、智慧、成网”七大要素精准发力,持续推进光禄古镇、金秀谷康养小镇等特色小镇建设。
专栏6新型城镇化重点工程 |
姚安县城市基础设施建设。主要包括城市主干道、城市次干道、城市支路、自行车道等,建设内容为道路工程、桥涵工程、交通指挥信号工程、排水工程、再生水工程、给水工程、照明工程、电力工程、通信工程、燃气工程、绿化美化工程、地下综合管廊工程。项目建设地点分布于整个姚安县城范围内。 姚安县城排水防涝设施建设。主要建设下口坝水库防洪监测预警系统、蜻蛉河仁和段调节闸改造、县城南入口湿地公园及镜淜湖水调节扩容、县城规划区内河道改造治理、环城河道建设、县城湿地公园绿地水体联通截水蓄水工程、城市防洪智能化监控指挥中心、城市防洪指挥中心、城市防洪物资储备库等。 姚安县海绵城市建设。新建姚安县海绵城市120000平方米。 姚安县城电网通信网入地工程。县城主次干道强电管道、弱电管道建设,实现姚安县城区电网通信网入地。 姚安县地下综合管廊建设。建设干线综合管廊12575米,支线综合管廊9129米。 姚安县城市亮化升级改造工程。实施县城亮化工程,以绿色照明改造为主,改造城市道路和公共区域路灯10000盏。 姚安县2021—2025年老旧小区改造。主要涉及共40个老旧小区改造,共1500户,改造栋数80栋,总建筑面积60000平方米。 姚安县西苑广场特色街区建设。西苑广场特色街区市政基础设施建设和社区公园建设。 环城南路片区特色街区。对环城南路特色街区整体进行提质提升改造,主要包括商业街区店招店牌整饬、彝族文化景观小品、景观亮化、绿化补植补造,休闲设施、旅游标识系统和环境卫生收集设施等建设项目。 迎曦街片区特色街区改造。对迎曦街片区特色街区进行提升改造,提升城市文化品位。 姚安县无障碍环境建设。县城建成区无障碍市政基础设施的配套建设及管理(街道、公园、广场、公厕),县残疾人托养中心、社会助残、残疾人康复、残疾人文化体育、盲人定向行走训练、残疾人家庭无障碍设施改造及项目实施;无障碍环境信息化建设、网站、App、信息交流服务;医疗服务机构无障碍设施建设及改造;中小学无障碍设施建设及改造;敬老院无障碍设施建设及改造;车站、公路建设等无障碍设施建设及改造;盲人阅览室、旅游公厕等设施建设及改造等无障碍环境建设。 县城市政设施修复提升改造。路面工程主要是更换路面小块料为青石板,涉及原路面清除、混凝土垫层、青石板路面铺贴、树池修补等分部分项工程。对县城所有的破损设施进行修复改造,包括车行道、人行道、公共设施修复,广场绿化苗木补植补种及景观提升改造、树池安装网格、电力电信设施外观立面改造等内容。 姚安县城市更新建设。提升改造道路11条,总长度8400米。公共服务设施配套建设:新建社区办公用房2处、新建幼儿园1所、社区服务站2个、文化活动站2个、小型多功能运动(球类)场地3块、室外综合健身场地4块、老年人日间照料中心(托老所)2所、生活垃圾收集站3个、公共厕所及环卫设施6个、立体停车库2个。建设街区信息模型(CM)基础平台2个,建设智能交通、智能电网、智能水务等感知终端各2套。改造老旧小区及城市更新区域外面积210亩。对部分老城区、旧住宅区、城中村进行征收拆除350亩,拆除房屋建筑面积21.5万平方米,新开发建设建筑面积31.5万平方米。 姚安县城乡生活垃圾及环卫设施建设。配套垃圾大型环卫车辆30辆,小型垃圾收集车40辆,建设垃圾中转站10座,配套垃圾箱4000只,垃圾中转房150个,垃圾热解站4座,建设县第二垃圾处理场1座。 姚安县第二垃圾处理场。用地面积300亩,实施总库容为129.94万m3、处理规模达100t/d。 姚安县城西南片区截污工程。新建县城西南片区环西线、赫家沙沟、西大路污水DN8000主干管15km;县城40km污水管道疏通清淤、破损修复,河道治理。 姚安县西片区生态廊道。县城65条干道建设智慧护栏。 姚安县城市智慧亮化提升。对县城标志性建筑、政府部门、商场、小区、街道等人流量多的地方进行灯光亮化。包括城市路灯智慧照明系统、城市楼体亮化、绿地夜景亮化工程、城市灯箱及门牌匾改造工程、路灯监控工程等。 姚安县智慧城乡环卫一体化项目。县城及栋川、光禄、太平3个乡镇城乡环卫一体化工程建设。 姚安县美丽县城及城市综合体建设。姚安县美丽县城建设及商业中心综合体、市政道路建设。 姚安县城镇生活垃圾分类收运焚烧发电一体化。日收垃圾100吨,建设智能分类投放设施500台套,投入垃圾分类收运车辆14台,建设二次分拣中心及大件垃圾处置中心1座,智慧垃圾分类管理系统1套;建设100吨/日处理量的垃圾中转站1座,40吨/日处理量的厨余垃圾处理厂1座,100吨/日处理量的焚烧发电厂1座。 姚安县城绿化工程。新建湿地公园400多亩,含休闲、健身、运动、科普、湿地资源等多种功能的综合性城市公园1个。 姚安县供水管网完善工程。改造老旧输、配水管网120公里。 姚安县特色民居建设。实施民居特色风貌改造、特色民居开发建设1500户。 |
第六章坚持三农优先,着力推进乡村振兴战略
全面落实农业农村优先发展总方针,按照“产业兴旺、生态宜居、乡风文明、治理有效、生活富裕”的总体要求,走中国特色社会主义乡村振兴道路,全面实施乡村振兴战略,强化以工补农、以城带乡,推动形成工农互促、城乡互补、协调发展、共同繁荣的新型工农城乡关系。围绕《姚安县乡村振兴战略规划》,推动城乡规划融合、要素融合、产业融合、基础设施和公共服务融合发展。在巩固拓展脱贫攻坚成果的同时,充分发挥农民主体作用,培养高素质“三农”人才队伍,进一步夯实农业基础,加快农业农村现代化,提高农业质量效益和竞争力,实施乡村建设行动,深化农村改革,不断凝聚乡村振兴社会共识,形成乡村振兴整体合力,更好满足姚安农民美好生活新需要,为高水平全面建成小康社会,补齐关键短板。
第一节巩固拓展脱贫攻坚成果
在全面完成脱贫任务基础上,把脱贫工作重心转向解决相对贫困,持续巩固已脱贫的24982人、6979户、44个出列贫困行政村的脱贫成果,严格落实“四个不摘”要求,以高质量脱贫,实现巩固拓展脱贫攻坚成果同乡村振兴有效衔接。
一、保持政策措施总体稳定
保持现有帮扶政策总体稳定,持续巩固脱贫成果。因地制宜采取差别化办法设置过渡期,确保帮扶政策延续性。加强解决相对贫困问题顶层设计,制定解决相对贫困问题的政策措施,纳入实施乡村振兴战略统筹安排,推动减贫战略和工作体系平稳转型。保持帮扶措施、投入机制的总体稳定。保障产业、税收、金融政策优惠力度不减,就业、教育、健康、低保等特殊政策向常规性、普惠性、长期性政策转变。
二、健全防止返贫监测预警和动态帮扶机制
高度重视返贫致贫群众帮扶工作,对脱贫不稳定户、边缘易致贫户,以及因疫情,因病、因灾、因意外等收入骤减或支出骤增户加强监测,全面落实即时发现即时帮扶措施。对建档立卡脱贫户实行动态管理,做好返贫风险软着陆工作。夯实“两不愁三保障”底线,力促贫困人口稳定脱贫防止返贫。
三、注重扶贫产业长期培育
加大产业就业支持力度。推动相对贫困地区因地制宜发展优势产业,构建以市场为导向、党建为引领、科技为支撑、企业为纽带、项目为依托、政策为保障的产业扶贫支撑体系,立足姚安县资源禀赋,激活农村各类生产要素潜能,激发扶贫产业动能和活力,力争77个行政村每村有1—3个优势产业,增加对相对贫困人口的带动和辐射能力。积极谋划与村民共同受益、集体共同致富的到村项目,不断加快共同富裕的步伐。
四、做好脱贫群众就业帮扶
强化就业扶贫,完善农民培训体制机制,坚持外出转移就业和就地就业两手发力,实现产业发展与农民增收的利益联结,推动就业意愿、就业技能与就业岗位精准对接,提高劳务组织化程度和就业扶持覆盖面,积极开发城镇公益性岗位,有效解决部分“三无”贫困群众和弱能户群众就业脱贫问题,为群众提供更多就业机会和岗位。努力提高贫困劳动力就业技能水平和综合素质,帮助贫困农户实现转移增收、就业脱贫。
五、扎实做好脱贫后续帮扶
做好易地扶贫搬迁后续扶持工作。对713户搬迁对象开展“一户一策”的精准帮扶,加快建立健全易地扶贫搬迁的相关政策措施,完善安置点生活服务设施,积极引导搬迁群众落户城镇,提供多渠道就业。办好各类扶贫扶志扶智主题活动,增强群众发展内生动力。
专栏7巩固脱贫成果重点工程 |
产业扶贫巩固提升工程。以扩大就业为导向,健全完善利益联结机制。构建“农业、工业、旅游业、一二三产业融合、电商”等多措并举的产业扶贫局面,增强对相对贫困人口的带动和辐射能力。扶持花卉产业大棚建设,按现代设施农业要求配套建设无土花卉大棚、水肥车间水肥一体化灌溉、自动化控制系统、冷库及包装车间。 易地扶贫搬迁后续扶持工程。稳妥推进易地扶贫搬迁群众户籍迁移,完善安置点生活服务设施,建设移民综合服务管理中心,强化教育医疗和社会保障,对困难群众物管费、电视收视费和水电费实施减免补贴,加大产业就业帮扶力度,全面消除零就业家庭,在移民乡镇新建移民电子商务站。 脱贫出列村提升行动。积极申报争取列入乡村振兴重点帮扶县,力争姚安在未来时期赢得更大的外力支持。 美丽家园·移民新村建设工程。发展花卉、石榴、蔬菜等产业项目;配套建设完善村庄内部道路、文化活动场所建设、停车、消防水池、公厕、绿化、路灯、垃圾收集点、政策法规宣传文化活动长廊等基础设施等。 村间道路硬化工程。在全县实施自然村进村主干道路硬化、村内道路硬化工程。 金融扶贫工程。针对建档立卡贫困户发放小额信贷贴息贷款,对大中型水库库区核定登记的移民,发放定额补助。 创业、就业扶贫工程。实施创业就业能力建设和就业扶持项目,对年龄在18—55岁的适龄移民组织劳动力技能培训,创建移民车间,对移民用工企业和稳定就业移民给予奖励。实施雨露计划,以农村贫困户青中年劳动力为对象,以帮助贫困农户增收脱贫为目标,以转移就业前的技能培训为重点,通过国家财政扶贫资金补贴和扶贫项目管理等手段,多渠道、多形式地开展贫困劳动力转移培训。 |
第二节推动乡村产业发展
充分发挥县域资源优势,坚持保护优先,以高质量发展为导向,按照特色化、品质化、现代化的发展路径和规模化、专业化的经营方式,深化农业供给侧结构性改革,做强高原特色现代农业,打造“两端两精”和“两区两园”,稳定农产品市场供应链,推动产业开发,把姚安的绿水青山转变为人民致富的金山银山。
一、优势产业引领农业现代化
科学谋划姚安坝子和昆楚大高速路“一坝一路”产业空间布局,集中优势资源,围绕发展现代农业,加快推进实施花卉无土化、水果特色化、蔬菜有机化和肉牛规模化,突出发展绿色食品加工业,孵化培育壮大大健康产业,构建特色鲜明、技术先进、绿色安全的现代农业产业体系。持之以恒打造“牛、花、菜、果”四大特色农业的项目推进实施链和时序链,着力破解投融资、要素保障、资源配置三大难题。发展中药材、魔芋、山药、水产养殖四大新兴产业。集中整合项目资金投入,着力提高产业投资(含工业投资、园区投资)和民间投资的比重,提高投资的有效性、项目实施的质量和效益。在姚安坝子打造10万亩高原特色现代高效农业产业园。强化围绕农业抓工业的理念,引进先进工艺设施,提高精深加工能力,开发酒类、饮料类绿色食品,构建特色农产品精深加工基地。通过专业合作、股份合作、土地入股、土地流转等多种方式发展适度规模经营,积极引入国际先进的产业技术标准和产品质量管理办法,提升产业规模化、组织化、专业化水平。
二、打造全国有机农业示范县
大力发展绿色有机农业,构建绿色农业体系,打造“全国有机农业示范县”。把增加绿色优质农产品供给放在突出位置,培育产业生态型企业,从农产品加工、包装、物流、服务入手,增加农产品附加值。大力推动农业生产资源利用节约化、生产过程清洁化、废物处理资源化和无害化、产业链接循环化,促进农业生产方式转变,提高农业综合效益。建立完善“龙头企业+合作社+农户”的利益联结机制,扶持发展一批种养型、加工型、流通型、服务型的农业龙头企业、农民专业合作社、家庭农场等新型经营主体,发展“绿色+”特色产业。要以有机农业示范县创建为契机,以争创国家级现代农业产业园为目标,突出调结构、建基地、育主体、搭平台、创品牌,利用建设昆明花拍中心姚安优质货源集货中心的平台优势大力发展花卉产业,持续发力争创云南省“一县一业”肉牛养殖示范县,坚持提升种植水平与推进产品开发“两条腿走路”的原则发展软籽石榴产业,以龙头企业和专业合作社推动绿色蔬菜持续发展,努力把农业抓成群众创业增收的基础产业。以有机农业示范县创建为契机,争创国家级现代农业产业园。
三、做强做大优质品牌
实施农业品牌提升工程,加快现有农产品品牌化,突出生态、健康主题,建立高原特色农业品牌化发展模式,扩大肉牛、花卉、蔬菜、水果等特色农产品品牌开发规模,创建一批具有姚安文化底蕴、鲜明地域特征、“小而美”的特色农产品品牌。全方位传播“姚安山药”“姚安豌豆”“菖河蜂蜜”等品牌名片,打造“荷城生态蔬菜”“荷城花卉”“姚安石榴”“姚安肉牛”等农产品品牌。推进农产品“三品一标”认证、认定及监管工作,加大财政以奖代补力度,支持和鼓励农业龙头企业、新型农业经营主体申报“三品一标”国家农产品质量认证,建设无公害农产品、绿色食品、有机食品基地,争创国家有机产品认证示范县。利用各类媒体宣传姚安优质特色农产品,组织荷花节、牛展会、山药展示交流会、软籽石榴推介会、二月八龙华会等活动,鼓励企业参加珠洽会、昆交会、商洽会等展销会,加大绿色食品品牌宣传推广力度。
四、发展休闲观光农业
根据“一村一品一特色”打造一批特色农产品村、生态旅游村、观光农业村、民俗文化村、休闲养生村。拓展民族特色文化旅游、农业体验、特色工艺旅游商品、特色餐饮、户外体育旅游等项目。依托姚安气候宜人宜居、生态特色农产品和健康养生资源富集的优势,以“牛、花、菜、果”等高原特色现代农业为支撑,以光禄古镇省级历史文化名镇、全省重点开发建设特色旅游小镇、全省第一批十佳宜居小镇和国家AAAA级旅游景区等品牌资源和龙华寺、诸葛武侯祠、文峰塔等历史、民族文化底蕴,马游梅葛文化生态保护区和特色旅游村、下口坝、洋派水库等生态资源为依托,开发一批特色手工业产品和民族特色产品,发展延长农业产业链,促进农村一二三产业融合,推动农业与现代服务业融合发展。“农旅融合、以农促旅、以旅强农”,打造成全省休闲观光农业和乡村旅游的滇中新花园,建设成云南省极具特色的“乡村康养旅游目的地”。
五、大力发展数字农业
以“姚安三农通”为基础,推进大数据、云计算、物联网、互联网、智能装备等技术在农业领域的应用。大力发展数字农业,积极争取云南省数字农业试点,打造“数字农业”示范县。完善农业统计调查制度,建设数字田园、智慧养殖、农产品电子商务等综合性高科技智能型数字农业体系。实施大数据工程,健全农业资源台账,完善农业资源、环境相关基础信息数据采集、监测、预测、预警和评价体系。开展“互联网+”现代农业行动,推广农业物联网应用,开展智能农业示范基地创建,把姚安县高原特色现代农业产业园建设成物联网示范基地。加快农业信息化建设,构建覆盖县、乡(镇)、村三级农业信息化服务体系。鼓励互联网企业建立产销衔接的农业服务平台,完善农资监管、“三资”管理、土地确权登记与流转、乡村动植物疫病监控等信息化建设。实施信息进村入户工程,推广使用“云农12316”三农综合信息服务平台,推进益农信息社建制村全覆盖。
专栏8 乡村产业振兴重点工程 |
乡村振兴示范园区建设工程。以一二三产业融合,产业兴村强县为基础,以农旅融合为核心,建设全国全省一流乡村振兴示范园区。 高原特色现代高效农业产业园。打造“四园区一中心”现代农业产业园,包括:5万亩蔬菜产业园区1个、3万亩水果产业园区1个、2万亩花卉产业园区1个、绿色食品加工园区1个、综合信息服务中心1个。 智慧农业工程。建设数字田园、智慧养殖、农产品电子商务等综合性高科技智能型数字农业体系。推广农业“互联网+”、云南12316信息化建设工程。 花卉产业新型智慧工程。新建花卉种源研发繁育中心、智能种植温室大棚、智能水肥一体系统、智能恒温控温系统、产品线上销售、大数据平台、种苗、病虫害防治、防伪追溯、物联网、拍卖交易系统。 绿色有机蔬菜产业新型智慧工程。新建蔬菜种植基地智能种植温室大棚、种苗大棚、智能水肥一体系统、产品线上销售、大数据平台、种苗、病虫害防治、防伪追溯、物联网、全自动监控系统、冷链物流系统。 乡村旅游基础设施建设工程。对全县涉及乡村旅游建设范围内的乡镇、村、组,特别针对申报认定为省、州级的乡村旅游名镇、名村、旅游扶贫示范村实施基础设施逐年投入。建设乡村旅游公路、景观台、旅游厕所、旅游服务点、旅游商品展销点、导览功能、停车场、智慧化景区、消防等设施。 田园综合体建设工程。以花卉产业为核心纽带,整合和新建一批精品庄园、农业公园、体验农园,高标准建设集特色花卉观光、科普研学、休闲度假、摄影旅拍、半山酒店、民族文化体验等多功能多业态于一体的农业文化旅游融合项目,以产业联合体或联盟等方式,全域构建集乡村文创、创客社区、田园公社、互动体验和田园生活为一体的田园综合体。 |
第三节培养乡村实用人才
围绕重点产业、重点领域,加强与产业发展要求相适应的机构和队伍建设,提高农民科学文化素质,培育有文化、懂技术、会经营的新型农民,充分发挥农民建设新农村的主体作用,为姚安现代农业的发展提供强大的人才支撑。
一、实施人才强农战略
实施人才强农战略,既要挖掘农村本土人才,充实农村基层干部队伍,加强农村专业人才队伍建设,扶持培养一批农业职业经理人、经纪人、乡村工匠等,又要大力引进农业科技人才,着力抓好产业体系骨干专家、农业推广人员、农村能人“三支队伍”建设,把到农村一线工作锻炼作为培养干部的重要途径,注重提拔使用实绩优秀的干部,形成人才向农村基层一线流动的用人导向,切实将人才理念放在关键环节和重要位置,引导各类人才投身乡村建设。加强社会组织建设,充分发挥社会组织在服务政府、服务社会、服务农民中的积极作用。充分发挥行业协会、学会的智囊作用,建立适应现代农业发展需要的行业技术、人才评价机制。
二、强化职业技能培训
进一步加强农村专业人才队伍建设,培育造就更多新型职业农民。依托高等教育、中等职业教育资源,鼓励农民通过弹性学制接受中高等农业职业教育。以专业技术引导农民科学发展农业,坚持先富带后富,以富带贫,努力提高农民队伍的综合素质和职业能力。强化农民职业技能培训,支持省内外高层次专家到县乡设立专家科研工作站,大力推行科技特派员制度。 加强对从事农业生产农民的培训,采取有针对性和实用性的措施,突出区域优势产业,以现代适用技术和实用技术培训为主,结合发展现代农业和建设新农村的要求,加大现代信息技术、生物技术、清洁生产技术、环保技术等的培训力度,提高农民的科技素质,促进科学种田、科学养殖。同时加强农业信息化人才队伍建设,切实加强农业信息化服务管理能力建设。通过电商企业联系乡镇、乡镇联系村点、村级服务点联系贫困户、合作社联系贫困户等途径,带领广大农户抱团网上创业,壮大电子商务人才队伍。
三、营造良好人才环境
营造有利乡村人才成长和施展才干的良好环境,提供完善的政策支持软环境、良好的人才成长硬环境,更大程度地激发人才的活力,服务好农村各类人才,着力构建积极开放有效的政策环境、支持创新创业创造的工作环境、营造尊才爱才敬才用才的社会环境,激励各类人才在乡村大施所能、大展才华、大显身手。想方设法留住优质劳动力,加大各类专项政策的优惠、扶持力度,吸引新农人、树立新乡贤、培训新农民,号召城归返乡人员积极参与农业产业化建设,把农村人力资源变成人力资本,培养真正“出得去、留得住、回得来”的新农民。
专栏9 乡村人才培养重点工程 |
新型职业农民培育工程。建设劳动力培训中心和新型农民教育培训示范基地,主要实施种养殖一体等农村实用技术和职业技能培训。 文旅人才精英培养。培养、培训文旅高级管理人才;培植高素质本土导游。 |
第四节建设美丽乡村
实施乡村建设行动,打造生态优美的乡村环境,围绕“生态宜居”要求,加快基础设施建设和生态保护力度,着力补齐农村公共基础设施和公共服务等方面的短板,深入开展农村人居环境整治,培育文明乡风,持续改善农村人居环境,建设各族群众安居乐业的美丽家园。打造生活环境整洁优美、生态系统稳定健康、人与自然和谐共生的美丽乡村。
一、加强乡风文明建设
以社会主义核心价值观为引领,推进农村精神文明建设。结合农村实际,采取符合农村自身特点的有效方式,加强农村思想道德建设,推动乡村道德规范建设。深化农村殡葬制度改革,加快推进乡镇公墓建设,引导群众文明治丧、低碳祭扫。推进移风易俗,树立婚育新风,加强文明乡风建设。不断加强农村思想文化阵地建设,推进理想信念、职业道德、家庭美德、个人品德建设,推进诚信建设,强化农民的社会责任意识、规则意识、集体意识、主人翁意识,推动社会主义核心价值观在乡村落地生根。
二、保护传统村落和乡村风貌
加强对传统村落和古村落保护开发,让其既传承历史文化、凝结乡愁眷恋,又跟上时代节拍、融入现代生活,实现在原有文化根脉上的新生。重点打造一批特色文化名村,努力形成“一村一品、一村一景、一村一风、一村一韵”的乡村文化产业发展新格局。建设非遗项目保护传承基地、传习馆,挖掘民间艺术人才。将民族团结进步示范创建与民族文化繁荣相结合,紧紧围绕火把节、龙华会、秋山会、民族团结日、荷花节等民族民间节庆文化,不断拓展文化活动内容。保护、传承和发展农村优秀传统文化。以开展“服务惠民”活动为依托,大力整合各类资源,着力推进村级综合服务中心建设,积极推进党建、就业、社保、教育、卫生、民政、文体、法律等8项服务,切实提升乡村公共文化服务水平。
三、推动农村基础设施提档升级
高度重视村庄规划编制工作,编制一批符合村庄发展实际、农民发展意愿和乡村振兴要求的实用性村庄规划。加快农村基础设施建设。统筹乡村建设项目、资金、人才等各类资源,加快农村公路、供水、环保、电网、物流、信息、广播电视等基础设施建设,推动城乡基础设施互联互通。继续推进节水供水重大水利工程,实施农村饮水安全巩固提升工程,补齐农村基础设施短板,促进城乡基础设施互联互通。以建设生态宜居美丽乡村为目标,深入推进农村人居环境整治三年行动,以农业面源污染防治、农村垃圾污水治理、“厕所革命”和村容村貌提升为重点,加快推进“一水两污”“千村示范、万村整治”等项目工程建设,使乡村环境更美、生活质量更高。严格落实河长制,实行三级河长治污,着力保护绿水青山,建设美丽乡村。规范发展特色小镇和小城镇,加强以乡镇集镇为中心的农民生活圈建设,推动镇村联动发展,带动农业现代化和农民就近城镇化,提高城镇化率,增强城市对农村的带动力,促进城乡一体化发展。
四、以产业发展支撑美丽乡村建设
坚持把基础设施建设与发展特色产业、乡村旅游等有机结合。实现产业发展与人居环境改善互促互进,以良好生态推进实施乡村振兴战略。生态文明建设制度体系进一步完善,绿色经济占比明显提升,绿色生活方式深入人心,生态美、环境美、城市美、乡村美、山水美成为普遍形态。
专栏10美丽乡村建设重点工程 |
乡村振兴工程。实施美丽乡村建设行动,推进农村改厕、生活垃圾处理和污水治理,实施河湖水系综合整治,建立完善农村人居环境长效管理机制,保护传统村落和乡村风貌,打造生态美、环境美、山水美、田园美、乡村美、风尚美的生态宜居美丽乡村。 农村供水保障工程。对全县9个乡镇水源枯竭、工程规模小、来水量受季节影响大、管道锈蚀、老化、脆裂的这类工程,进行输配水管网改造、维修、更换、并网。 农村环境综合整治工程。加强农村饮用水水源地保护;加强农业面源污染治理;健全完善农业资源监测体系;严格工业和城镇污染处理、达标排放强化土壤污染管控和修复。新建一体化污水处理设备,氧化塘、雨污分离排水设施等、收集处理农村生活污水、畜禽养殖粪污。 民族团结示范村、特色村建设工程。开展民族团结示范村、特色村建设,进行产业扶持,建设文化活动场所、加强民族团结宣传教育;加强农业农村文化遗产挖掘保护利用、民族文化传承保护和创新开发,保护好优秀农耕文化遗产。 |
第七章坚持基础先行,着力夯实基础设施建设
紧紧围绕国内大循环为主体、国内国际双循环相互促进的新发展格局,全力推进基础设施领域补短板,加快现代综合交通、能源、水利、物流和新型基础设施建设,构建系统完备、高效实用、智能绿色、安全可靠的现代化基础设施体系,夯实高质量发展基础。
第一节构建便捷交通网
以高速公路快速推进为契机,推动姚安县路网升级,实现高速公路通车扩容,借助滇西旅游环线建设机遇,打造县域旅游大通道,实现姚安县北上、南下、东进、西连的交通环线。
一、大力推进高速公路建设
依托高速、国省干线主骨架公路,以提高公路等级为重点,推动路网升级改造,重点建设G56楚雄至大理高速公路通道扩容工程、姚安至南华高速公路。力争到“十四五”末,全县境内高速公路通车里程达107.37公里。
二、全面推动路网升级改造
加快农村公路建设,建设重要县乡道改造工程、环线公路、专用公路、出境公路、自然村硬化路、窄路基路面加宽改造工程、农村联网公路、乡村旅游路、资源路、产业路、美丽公路、“四好”农村路、农村公路安全生命防护工程、危桥改造等项目。推动县乡通村公路全方位养护,提高农村公路抗灾能力和通达水平。通过“十四五”期间建设,实现全县一半以上乡镇通高速,自然村通硬化路,城乡公交一体化、交通运输网络化的建设目标。一、二级公路里程达到136.93公里;三级公路达375.13公里。争取实施重要县乡道提升改造工程275.64公里,美丽公路和“四好”农村路380公里,旅游公路180.24公里,出境公路192.25公里,专用公路67.24公里,村组公路硬化560公里。
三、全力打造旅游大通道
依托姚安县的区位优势,全面实现姚安县北上、南下、东进、西连的外部大交通全线贯通,将姚安县打造为省域旅游专线的枢纽;对内串连光禄古镇、千年古刹龙华寺、回型古街、元代姚安路军民总管府、高雪君祠等旅游资源的交通路线,积极推动楚永攀省级休闲精品自驾游线路姚安段景区、景点建设,加快沿途游客休息站、观景平台、旅游公厕、汽车租赁网点、应急救援站、景点标识等配套公共服务设施建设,打造精品自驾旅游线路重要节点。
四、积极完善客运枢纽建设
随着姚安近几年来经济的快速发展和公路建设工程等重大交通基础设施项目的实施,公路运输将更加完善。本着“协调路网、因地制宜;符合城规、满足需求;统一规划、分步实施;新旧兼容、节省投资”的原则,姚安县站场规划分为两个方面,即交通客运站场和集疏运站场。2021—2025年,姚安县规划建设一个一级客运站、一个交通商业中心、姚安县9个乡镇物流中心、5个姚安县网约车公司(网络预约汽车出租客运企业)、一个姚安县新能源公交枢纽、一个姚安物流园区、一个养护应急保障中心。
五、强化铁路线路建设
积极参与“轨道上的滇中城市群”建设,配合省、州推进区域内铁路和城际轨道交通线网规划建设、滇中城市群城际轨道交通建设、境内主要铁路复线建设和电气化改造。通过铁路的扩能改造,进一步打通长距离、大运量的出省、出境运输通道,强化姚安县的铁路交通建设。
第二节完善水资源保障网
大力实施“兴水润滇”工程,针对姚安县易洪涝、干旱和病险水利工程的安全隐患问题,进一步完善防洪防涝体系建设,提升城乡清洁供水能力,加强水资源生态保护力度,打造水利管理智慧体系。
一、完善防洪防涝体系建设
加快建设城市防洪除涝、中小河流治理、山洪灾害防治工程、病险水库除险加固工程、病险水闸除险加固工程。重点城镇和经济区防洪能力明显提高,大江大河干流及重要支流达到国家规定的防洪标准,中小河流和山洪灾害防治能力进一步提高。基本消除病险水利设施安全隐患。基本建立山洪灾害防治区监测预警系统和群测群防体系。不断提高干旱易发区、重要城镇、粮食主产区应急备用供水能力。进一步增强防汛抗旱应急能力。
二、大力提升城乡清洁供水能力
加大对水利设施和水利工程的投入力度,继续开展引水项目,加大力度争取重点水源、重大引调水工程项目,在重点农业区域建设综合性骨干水利工程,形成姚安县内河渠贯通、相互补给的水利网络,完善全县60条河流、4座中型水库、10座小(一)型水库、72座小(二)型水库以及蜻蛉河大型灌区工程、龙鼻子引水项目的配套管理和设施;加快推进污水配套管网建设,县城污水集中收集及处理率达到100%,污泥处理达到无害化要求,对现有排放物污染超标的能源企业进行综合整治,严格控制污染指数;全面完成河道违法违规建筑整治工作,继续加大全县农村垃圾专项清理的力度。
三、加强水资源生态保护力度
全面贯彻依法治水,结合“河长制”“湖长制”,全面加大管理保护力度,切实维护河湖健康生命。加强水功能区分级分类管理,从严核定水域纳污能力。结合“清四乱”、采砂管理规划、河湖执法监督,系统治理河湖水域岸线和水生态水环境问题,维护河湖生命健康。按照水功能区划要求,严格入河湖排污口监管,建立水污染监测预警系统与水污染事件应急处理机制。划定农村饮水水源保护区和保护范围,实行从水源地到水龙头全过程监管。加大对河湖、水库地区的生态建设投入,推进周边生态治理和水源地绿化建设。深化农业水价综合改革,推行城镇居民用水阶梯价格和非居民用水超定额累进加价制度,积极培育水权交易市场,探索建立水生态补偿机制。宣传普及节水和洁水观念,开展全民节水行动,树立节约用水就是保护生态、保护水源就是保护家园的意识,使节约用水成为每个单位、每个家庭、每个人的自觉行动,积极培育社会水道德观念和水文明行为习惯。
四、打造水利智慧管理体系
实施水利管理智慧化项目,实现对水利工程的集约化管理、集束化执行、集成化运营,推动水利综合业务精细化管理,提升科学化决策调度管理水平,最终形成“更透彻的感知、更全面的互联互通、更科学的决策、更高效智能的管理”的智慧水利管理体系,驱动和支撑水利治理体系和治理能力现代化。
第三节筑牢能源保障网
以持续深化能源结构调整为主线,实现天然气在居民和园区使用全覆盖,提升天然气、风电、光伏、生物质可再生能源利用比重,筑牢能源保障网。
一、继续深化能源结构调整
为适应姚安县“十四五”能源发展的新要求,必须加快推进能源结构优化转型,提升天然气清洁能源,风电、光伏、生物质可再生能源利用比重,加快布局绿色智能电网、能源互联网等基础设施建设,推进电网、油气管网建设,努力实现能源发展由“外延式”向“内涵式”转变,强化能源的高效经济利用,走节约、低碳的发展道路。大力削减煤炭消费,实施减量替代,限制工业及民用燃煤。按照“总量控制、全面削减、全程管理、高效低碳”的原则,大力削减煤炭消费,加快实施天然气、电能替代工程建设,推进清洁能源改造。
二、实现天然气利用跨越式发展
加快实施姚安天然气支线管道工程的规划、建设,着力建设中缅天然气管线南华分输站至姚安支线管道,配套建设储气站一座,切实降低供气成本。着力提高城镇居民、工业园区的天然气用气规模,拓展天然气应用领域和空间。天然气应用领域进行结构性变革,从向炊事为主,逐步转变扩大在工业加热、公共交通、环卫运输等领域用气;应用空间范围由中心城镇向乡镇及农村地区拓展,力争县城建成区、坝区建制镇天然气管网全覆盖。进一步实现天然气利用方式跨越式发展,通过工业园区热电冷联供等综合能源措施,降低能耗,不断提高能源利用效率。
三、提高新能源和可再生能源利用比例
按照“因地制宜、多能互补、重点突破、政策配套”的原则,有序推进风电、太阳能和生物质能的开发利用。发挥全县资源优势,把姚安建成全省新能源开发应用的示范地区。围绕“绿色能源牌”,进一步加强新能源工程建设,力争将姚安县建成全省新型能源产业基地,使新能源成为县域经济增长的新支撑。以项目投资为抓手,以园区建设为带动,以分散式、分布式开发太阳能光伏发电为主,加大落实光伏电站项目的力度;全面推广和建设农村沼气池,实现姚安县9个乡镇所有村(居)委会的沼气能源全覆盖;对姚安县配电网进行优化升级改造,逐年提升配网技术装备水平,做好城区一级管道管线入地工作,因地制宜规范城区一级干道电力架构线路改造工作。推广试点“新能源+产业”的发展方式,融合高原特色农业、文化旅游产业和轻工业实现突破发展。大力推广运用新能源汽车,积极落实购置优惠政策,配套完善新能源汽车充电基础设施。
第四节搭建新基建数据信息网
以大数据、云计算、工业互联网、人工智能技术为依托,加快推广5G网络的覆盖和使用,全面推进“云上姚安”智慧系统在各行业的广泛应用。
一、加快推广5G网络覆盖和使用
加快全县5G网络建设推进步伐,完善县乡村5G网络覆盖。推动5G网络在城市、医院、学校、交通枢纽等重点场所连续覆盖,加快智慧城市、数字医疗、智慧教育、智慧交通等应用建设,围绕旅游休闲景区、光禄特色小镇等部署5G网络,推进“5G+智慧旅游”应用落地。推进农村偏远地区、自然村等区域4G网络深度覆盖和扩容提速。开展老旧小区百兆光纤网络升级改造,推动光纤宽带网络向乡镇和农村地区延伸覆盖,对现有百兆以下固定宽带用户升级提速至百兆,加快建设千兆宽带。推进与省州级干线融合,提高网络承载能力和互联网县际出口带宽。重点区域千兆宽带覆盖率达100%,家庭宽带普及率、百兆以上宽带用户占比达100%,自然村百兆宽带通达率超过75%以上。
二、全面推进新基建服务网络建设
把握新基建发展方向,以“数字姚安”“智慧姚安”建设为引领,推动“互联网+”向一二三产业的全面渗透,以姚安县绿色食品产业园区为中心,建设“姚安农业信息网”,开展绿色环保防灾公共卫生服务效能体系建设、5G—互联网—云计算—区块链—物联网基础设施建设、人工智能大数据中心基础设施建设、以大健康产业为中心的产业网基础设施建设、新型城镇化基础设施建设、高新技术产业孵化升级基础设施建设,形成覆盖到村的线上信息服务体系;提升“互联网+”和大数据的运算力,协同构建地方数字经济应用产业联盟,加快推进城市管理数字化平台建设,提高县城管理和公共服务的质量和效率;完善乡村电子商务建设,引进跨境电子商务和知名跨境电商,形成完善的电子商务产业链。
三、着力推动新型建材的高速发展
重点发展新型铝合金型材加工和新型装配式建材,优化产品的研发、设计和制造流程,建设智能示范工厂和绿色制造示范工厂,努力提高新型建材加工的自动化、智能化和绿色化发展水平。新型铝合金型材加工。坚持以市场需求为导向,发挥招商引资作用,积极引进龙头企业,延伸铝合金型材加工产业链,重点发展水密性、气密性、抗风压性、抗腐蚀性、耐候性、隔声性、装饰性好的各类新型的节能隔热保温铝合金门窗型材产品、铝合金幕墙、室内天花板及墙面装饰板材、建筑用模板等。积极引进新型装配式建材加工企业,重点发展建筑预构件、PVC高分子纳米装饰材料、住宅轻钢结构等新型墙体材料,大力发展装配式建材,研发突破轻质、高强、隔音、隔热、节能环保的新型墙体材料生产技术,大力发展设计、制造、安装施工及售后为一体的服务型制造模式,壮大产业发展。
第五节建设物流保障网
以便捷的交通运输网络为依托,全面提升物流保障服务水平,在姚安县建设大型综合物流园区,形成全覆盖式的物流配送体系。构建完善高效便捷、内联外通、区域联动的“通道+枢纽+网络+平台”多层级全覆盖式的物流体系。
一、建设大型综合服务型物流园
按照有效整合物流资源,强化集约、集聚发展的要求,重点建设栋川综合物流园区和草海物流园区,支持建设一批具有优势产业支撑和区域特色的物流园区。针对姚安县不同区域经济发展特点和产业特色,构建与区域内产业紧密配套的物流联动保障体系;搭建制造企业与物流企业联动互动交流平台,推动物流业与制造业联动发展。支持大型专业化市场物流服务的整合,形成一体化物流服务体系,推动物流业与商贸业联动发展,大力推进物流业与农业产业化的融合,实现多业联动发展。着力推进昆明花拍中心“姚安优势货源集货中心”、栋川综合物流园区、草海物流园区等重要园区建设。建设一批设施先进、节能环保、高效适用的冷库,在重要农产品的主产区建立重点农产品冷链物流系统,在县城周边规划建设一批配送中心,购置一批冷藏运输车辆,大力培育冷链物流人才。
二、构建全覆盖物流配送体系
构建“枢纽+通道+网络+平台”为一体的多层级、高效率、智能型物流发展新格局。按照“两心(栋川镇、光禄镇)、四轴(南华—永仁、姚安—祥云、姚安—牟定、姚安—小苴)、两副(前场镇、弥兴镇)、五片(左门乡、大河口乡、官屯镇、太平镇、适中乡)”的城乡商业网点布局,将批发市场、农贸市场、冷链物流设施纳入公益性设施建设重点,在交通枢纽、集散地和中心城镇建成一批辐射带动能力强的商贸中心、批发市场、特色商业街区、物流中心以及电子商务聚集区。构建以中心城市和批发市场为龙头、乡镇为基础的二级流通网络,积极创新流通方式。基本形成布局合理、功能完备、安全卫生、机制健全、信息灵敏、交易方式先进、运行规范、统一高效、竞争有序的农产品批发市场体系,扩大城乡配送有效衔接,提高鲜活农产品农超对接比率。重点对乡镇集贸市场的建设和升级改造,推进集贸市场“农超对接”,在农产品主产区建设一批产地农产品批发市场。
专栏11基础设施建设重点工程 |
公路建设工程。实施S220姚安——南华二级公路提升改造姚安段、元谋——大姚——大理宾川高速公路姚安左门连接线、姚安——南华——南涧高速公路姚安段、重要县乡道提升改造、美丽公路、“四好”农村路、乡村振兴路网、脱贫产业路等县域交通基础设施建设项目。 公共交通设施建设工程。实施姚安县城市公交智能化应用示范、姚安县城市公交车及充电桩建设、姚安县新型现代公交交通系统、姚安县交通电子政务系统等建设项目。 高铁建设工程。实施攀枝花至永仁至元江高铁姚安段建设项目。 综合交通服务工程。在9个乡镇分别建设立体停车场,建设姚安县交通枢纽调度中心和交通运输数据中心等。 姚安通用机场。包括通航飞行器提供起降、停放、机修、加油、保养等服务,开展空中观光、公务出行、航空拍摄、空中广告等业务的飞艇、直升机等航空器提供地面保障服务。 旅游交通建设工程。完成高速路出口至光禄、栋川至洋派水库、光禄至观星基地、县城至诸葛武侯祠、县城至马游等旅游线路建设项目。 高效灌溉工程。实施蜻蛉河大型灌区姚安段现代化及生态灌区建设工程、姚安县农田高效节水灌溉工程以及各个乡镇高效节水灌溉项目;新建智能化灌溉供排水管网配套设施设备。 水库新建扩建工程。完成撇漕河水库、毛庄坡水库、力必甸河水库、金家闸水库等水库的新建扩建项目。 引调水工程。完成金沙江观音岩水电站马鞍山至三岔河至岔河引调水、龙川江至一泡江红梅水库调水、一泡江河库连通工程岔河引水、小石门水库至空心树水库等引调水项目。 水生态综合治理工程。实施洋派水库、红梅水库、胡家山水库、下口坝水库、小石门径流区、蜻蛉河姚安段等流域的水生态修复与治理项目,实施流域内的河岸维护、生态隔离带、水生环境维系、河湖湿地保护等项目。 乡村水系综合整治工程。实施全县9个乡镇的水系连通和农村水系综合整治项目。 水利信息化建设。采用“一个中心、一套保障制”的设计理念,加强水文监测站网、水资源监控管理系统、水库大坝安全监测监督平台、山洪灾害监测预警系统、水土保持天地一体化系统、城乡一体化智慧供水系统、灌区信息化系统、水利信息网络安全等项目建设,提升水利设施设备监测、监视、监控、管理的覆盖率和精准度,建设水利数据中心,整合提升各类应用系统,增强水利信息感知、分析、处理和智慧应用的能力。完善健全水利信息化综合业务管理平台,建设智慧水管理体系建设,以水利信息化驱动水利现代化。 防洪排涝工程。主要建设下口坝水库防洪监测预警系统、蜻蛉河仁和段调节闸改造、县城南入口湿地公园及镜淜湖水调节扩容、县城规划区内河道改造、治理、环城河道建设、县城湿地、公园、绿地、水体联通截水蓄水工程、城市防洪智能化监控指挥中心、城市防洪指挥中心、城市防洪物资储备库。 纳米超级电容新能源电池。建设年产3000万只纳米超级电容新能源电池生产线及配套设施。 5G基站建设。在全县范围内建设220个5G基站,促进5G网络全县全面通网。 乡村4G网络扩容提升改造。在农村偏远地区、自然村等区域实施4G网络深度覆盖和扩容提速工程。 老旧小区百兆光纤网络升级改造。实施老旧小区百兆光纤网络升级改造,推动光纤宽带网络向乡镇和农村地区延伸覆盖。 5G网络及配套设施建设工程。完成5G网络及配套基础设施建设工程。 新能源汽车推广运用工程。建设新能源汽车公交枢纽中心、新能源共享汽车服务中心、新能源汽车充电站、县乡主次干道电动汽车充电基础设施、综合交通枢纽调度中心等。 智能配电网建设工程。加大500kv适中输变电项目、220kv光禄输变电项目、110kv姚安电网优化项目推进力度;建设35kv大河口/左门输变电新建工程;提升配电网技术装备水平,逐步实现配电自动化;完成姚安2021—2025年农网电网改造省级任务。 屋顶分布式光伏电站建设。充分利用公共建筑、保障性住房、新农村、畜牧养殖场屋顶资源,建设分布式光伏电站。 天然气管输供应气源。从南华分输站引接约57km的长输管线至姚安县,管道规格DN200、设计压力6.3MPa,在栋川镇设姚安天然气门站将高压燃气降压后接入现有的中压调压站,最终进入城区管网。 物流枢纽建设工程。完成综合冷链物流建设、大河口乡高原蔬菜冷链物流中转站建设、前场镇大型仓储冷链物流交易市场建设、物流综合服务中心建设、大蒜仓储交易物流中心建设、高速公路入口物流中心建设、铁路商贸物流港口建设等项目。 物流智慧系统建设工程。完成9个乡镇物流中心及智慧交通一体化建设、现代物流智慧交通建设等项目。 物流园区建设工程。完成弥兴镇绿色农产品(万亩蔬菜)加工及冷链物流园、粮油现代物流中心、滇西高原特色现代农业科技物流园等项目的建设。 |
第八章坚持绿色发展,着力推进生态文明建设
推动绿色发展,促进人与自然和谐共生。牢固树立绿水青山就是金山银山的发展理念,坚持尊重自然、顺应自然、保护自然,打好蓝天、碧水、净土保卫战和“7个标志性战役”,坚持节约优先、保护优先,守住自然生态安全边界。深入实施可持续发展战略,完善生态文明领域统筹协调机制,构建生态文明体系,促进人与自然和谐共生,加快推动绿色低碳发展,持续改善环境质量,提升生态系统质量和稳定性,全面提高资源利用效率。
第一节实施生态环境分区管控
以构建生态环境分区管控体系为目标,加强统筹衔接,强化空间管制,采取分类保护、分区管控措施,加快形成节约资源和保护环境的空间格局。
一、加强重点生态区域保护
推进生产、生活、生态空间优化,引导重点开发区,适度扩大县城栋川镇城市规模,发展壮大与县城具有紧密联系的小集镇,在提高经济增长质量和效益、节约资源、保护环境的基础上,加快推进工业化和城镇化,促进人口、产业和经济聚集,建成姚安县工业化和城镇化的核心区;引导农产品主产区以增强农产品生产和供给能力为主要发展方向,重点生态功能区以水源涵养、水土保持、生物多样性保护为重点,实行重点生态功能区产业准入负面清单制度,落实国家对农产品主产区和重点生态功能区的转移支付政策。对现有的681.67平方公里的生态保护红线进行科学调整,确保姚安生态保护红线划定与国家、省、楚雄州及姚安县主体功能区划、生态功能区划、土地利用规划、城乡建设规划等充分衔接。加强生物多样性保护优先区域、重要生态系统的保护,巩固三峰山、花椒园、大尖山三个自然保护区建设成果。
二、实施生态环境分区管控
按照“守底线、优格局、提质量、保安全”的总体思路,以构建生态环境分区管控体系为目标,采取分类保护、分区管控措施,持续开展沿高速公路、沿河湖岸线、沿城镇主次干道的“三线”绿化行动,促进特色风貌线、河湖岸线、景致景观线“三线合一”,加快形成节约资源和保护环境的空间格局。
第二节加强生态建设与环境保护
认真贯彻落实“大气十条”“土十条”和“水十条”,统筹山水林田湖草系统治理,实行最严格的生态保护制度。以重点专项行动和保护区建设为依托,系统推进姚安水气土保护与治理。
一、系统科学精准治水
以改善水环境质量为核心,系统推进水污染防治,水生态保护和水资源管理。强化水资源管理的三条红线。全面落实河湖长制,争取中央环保专项资金,以蜻蛉河流域整治为带动,加快推进县城污水管网改扩建和第二污水处理厂建设项目,推进“清河行动”、河湖“清四乱”行动、“清水行动”等专项行动。完善集中式饮用水源地保护区划定,开展饮用水水源规范化建设,依法清理饮用水源地保护区内违法违规建筑及排污口,严禁网箱养殖;加强农村饮用水源保护,分类推进水源保护区或保护范围划定,设立水源保护区标志,依法清理保护区内违法建筑和排污口,开展定期监测和调查评估。到2025年,纳入国家考核的地表水优质水体比例不低于85%,重要江河湖泊水功能区水质达标率不低于95%。
二、推进蓝天保卫行动
实施城市重点区域和重点行业的大气污染防治管控;加强工业污染防治。严控“两高”行业产能,加大落后产能淘汰和过剩产能压减力度;开展燃煤锅炉综合整治,深入推进燃煤小锅炉淘汰工作;加强城市面源污染防治,加强施工扬尘监管,推进绿色施工,严禁敞开式作业;开展油、路、车治理和机动车船污染防治,实施清洁运输、清洁油品、清洁柴油车、清洁柴油机行动。加强重污染天气应急联动,强化区域环境空气质量预测预报中心能力建设,开展环境空气质量中长期趋势预测工作。
三、加强土壤综合治理
推广生态种植模式,积极申请创建国家、省农业可持续发展试验示范区,大力发展绿色、有机农产品,逐步改善农业面源污染现状。加大农业面源污染治理力度,推进化肥农药减量化,加强重金属污染和白色污染治理。加大种养业特别是规模化畜禽养殖污染防治力度。优化调整畜禽养殖布局,推进畜禽养殖标准化示范创建升级,带动畜牧业绿色可持续发展。因地制宜采取就近就地还田、生产有机肥、发展沼气和生物天然气等方式,加大畜禽粪污资源化利用力度。到2025年,受污染耕地安全利用率不低于90%,一般工业固体废物综合利用率不低于56%,危险废物安全处置率达100%。
第三节促进资源节约循环高效利用
加快构建循环型工业、农业、服务业体系。按照减量化、再利用、资源化的原则,加强再生资源回收利用体系建设。
一、推广循环经济模式
以姚安县农业循环经济省级示范试点建设为契机,积极推动农作物秸秆、残留地膜、畜禽粪便、林业三剩物等农林废弃物的综合循环利用,促进再生资源利用向规模化、高效化、集约化发展。深化循环经济示范试点建设,依托农业企业和种植大户,推广高效节水技术和产品,实施规模化高效节水灌溉、节水农业技术推广示范等农业循环经济建设重点工程。
二、推进节能减排
深入推动全社会节能减排,大力发展绿色环保产业和循环经济,全力构建绿色、低碳、循环“三位一体”的生态发展格局,合理控制能源消费总量,推动经济社会发展向低能耗、低排放、低污染模式转变。严控“两高”行业产能,加大落后产能淘汰和过剩产能压减力度。加强重点领域重点用能单位和减排单位管理,建立能源消费总量控制分解落实机制,进一步完善固定资产投资项目节能评估和审查制度。重点针对办公场所以及饭店、医院、学校、商城等大型公共基础设施开展节能改造工作,建立公共机构节能管理制度,做好公共机构能源资源消耗统计工作,并制定节水、节点、节煤、节气等方面的规章制度,推广节水、节电器具和设备,减少能源损失,提高能源使用效率。
三、强化低碳发展
充分发挥风能和太阳能资源丰富聚集优势,加快推进以光伏现代农业为主的新型能源产业开发建设,打造风能发电、太阳能发电开发项目区,推动新型能源产业、高原特色农业和观光休闲农业的融合发展。加快城镇供水管网节水改造,鼓励再生水、雨水、矿井水等非常规水源的开发利用。优化新增建设用地管理,盘活存量建设用地,推进低效利用土地二次开发,严格土地用途管制,推广应用节地技术和模式。定期开展节能节水普及宣传,优化公共交通等绿色交通系统,倡导公众优先选择绿色出行方式,提高居民节能低碳意识。
第四节推进生态文明制度建设
统筹抓好生态环境机构监测监察执法垂直管理制度改革、生态环境保护综合行政执法改革、“放管服”及生态文明体制改革,严格“三线一单”全过程监管,严格实行生态环境损害赔偿制度,理顺生态环境保护管理机制。
一、健全环境治理领导责任体系
强化党委和政府领导生态环保“党政同责”和“一岗双责”责任制。建立健全生态环境监测和评价制度,推进生态环境保护综合行政执法。落实生态环境损害责任终身追究制,建立完善领导干部自然资源资产离任(任中)审计制度,对依法属于审计监督对象、负有自然资源资产管理和生态环境保护责任的主要负责人进行自然资源资产离任(任中)审计。
二、健全环保考核评价体系
督促重点污染源企业发布在线监测数据和企业环境信息,对公开信息的全面性和准确性负有法律责任。严把环评审批关,全力跟踪服务各类重大项目。严格实施能耗、水耗、地耗、污染物排放、环境质量等标准,实行最严格的产业准入环境标准,实施能效和排污强度“领跑者”制度,开展能效、环保和低碳标识认证工作。加强企业环境自律体系建设,强化生产者环境保护法律责任,大幅度提高环境违法成本。
三、强化监督督查
开展生态文明建设工作的监督检查,督促有关部门和地区履行生态文明建设职责,完成生态文明建设目标。建立生态文明建设报告制度,依法接受各级监督。正确引导公众和媒体履行环境监督义务。培育公众环境公益意识和环境维权意识,完善公众参与机制,设立投诉举报电话,对环境违规、违法行为的举报者给予奖励和保护。
专栏12 生态文明建设重点工程 |
环境管理基础设施建设工程。按照国家执法、监测业务建设标准,建设标准化执法、监测业务用房,在全县9个乡镇设置乡镇环保管理所并配备监测设备。 生态区域保护工程。完成洋派水库、红梅水库、胡家山水库、下口坝水库、大康郎水库、改水河水库、黄龙寺水库、空心树水库、梨园水库、马游水库、排沙河水库、杨家村水库以及七街河、各苴河等水生态环境综合整治项目。 河流域整治工程。实施连厂河、巴拉鲊河、山坡河、葡萄河、弥兴河、小苴迤海子河、杨官庄河等中小流域的河道治理项目。 城乡饮用水源地保护工程。对具有饮用水水源调节功能的水库,根据省州安排,结合姚安集中式饮用水水源地实际,有计划实施水源地保护工程。 生活污水治理工程。实施姚安县污水处理厂及配套管网、城市生活垃圾处理、光禄污水处理厂、光禄镇生活垃圾处理、前场镇污水处理厂及配套管网、前场镇生活垃圾处理、弥兴镇污水处理厂及配套管网、弥兴镇生活垃圾处理、太平镇污水处理厂及配套管网、太平镇生活垃圾处理等建设工程。 主要流域水质巩固提升工程。巩固《蜻蛉河流域环境综合治理项目》成果,加强流域地表水质量监测和污染源治理,使蜻蛉河水质达到水功能区划要求;对一泡江流域进行一系列环境综合治理,使一泡江水质达到水功能区划要求;对石者河流域周边村庄进行垃圾、污水收集处理,河道清理。 固体废物及工业废水再利用工程。结合草海工业园区建设,规划实施姚安县固体废物及工业废水集中处理再利用项目。 县、乡、村三级医疗机构医疗废水处理工程。对县医院、中医院、妇幼保健院、疾控中心等医院院区和全县9个乡镇11个卫生院、1个社区卫生服务中心及77个村(社区)卫生室医疗废水进行收集处理,达标排放。 农村人居环境整治工程。在栋川镇、光禄镇、大河口乡、前场镇、适中乡新建一体化污水处理、氧化塘、雨污分离排水管网等设施,收集处理农村生活污水、畜禽养殖粪污。 土地整治提质改造。通过工程措施,对境内耕地质量等级较低的耕地进行提质改造。 自然资源调查评价监测和确权登记。结合自然资源调查,建立评价监测平台,开展确权登记。 国家级生态县创建。围绕国家级生态县申报开展项目建设,全面开展姚安县生物多样性本底调查及评估。 |
第九章坚持扩大内需,着力融入“双循环”格局
坚持扩大内需这个战略基点,加快培育完整内需体系,把实施扩大内需战略同深化供给侧结构性改革有机结合,以创新驱动、高质量供给引领和创造新需求。通过畅通“双循环”,全面促进消费,拓展投资和贸易空间。
第一节培育繁荣消费市场
遵循“双循环”新发展格局,充分发挥消费对扩大内需的基础性作用和对现代产业体系构建的支撑作用。坚定实施扩大内需战略,积极引导劳动力回流,培育繁荣各类消费市场。
一、加快传统消费升级
积极培育健康生活消费、夜间消费、假日消费、定制消费、绿色消费、品牌消费等,释放消费潜力,培育新的经济增长点。完善城区商业中心、集镇商业中心和社区商业中心三级商贸服务网络,推动零售业转变和创新经营模式。依托“美丽县城”建设、特色小镇创建,推动商业步行街改造提升,打造一批夜间经济聚集区。依托文旅产业、医养条件等资源条件,合理引导房地产、旅游、信息、康养等生活性消费,以扩大服务消费为重点带动消费结构升级。
二、推进消费新业态发展
加快发展新零售、“无接触”消费等新业态,完善“互联网+消费”消费体系,促进教育、医疗健康、养老、托育、家政、文化旅游、体育等服务消费线上线下融合发展,发展直播带货、跨境电商、社群电商、生鲜电商、无接触交易服务、在线教育、在线医疗等新业态新模式。发展便民利民的社区卫生、保健、家政、托幼、养老、修理和再生资源回收利用等服务,发展劳动力转移就业、执业资格等培训服务。
三、挖掘农村消费潜力
深入实施城乡高效配送专项行动,扩大电商进农村覆盖面,布局一批电商物流集散中心,加快推进“快递进村”,促进工业品下乡和农产品进城双向流通。营造放心消费环境,积极利用区块链技术推进防伪溯源应用,强化市场秩序监管,积极推进消费领域信用体系建设,畅通消费者维权渠道。
第二节促进有效投资
精准把握国家和省投资政策导向,优化营商环境,超前谋划项目,确保投资空间有效拓展。
一、谋划重大工程和项目
精准把握国家和省投资政策导向,立足区位优势、资源禀赋、产业特色,突出前瞻性、系统性、创新性和全局性,聚焦生态安全屏障建设、“健康生活目的地牌”打造、旅游康养产业、立体交通水利能源网络建设、教育卫生补短板、高原特色农业发展、数字经济产业等重点领域,谋划一批重大工程、重大项目,突出项目引领投资作用,做实做细项目前期工作和项目储备,积极争取更多项目进入国家和省规划盘子,获得国家和省预算内资金、专项债券、优惠利率贷款等倾斜支持。
二、有效引导社会资本
创新政府投资方式,打好政策组合拳,积极引导社会资本、民间资本、境外资本参与项目建设、运营和管理,引导社会资本投入到全县巩固脱贫攻坚、实施城镇品质提升、打造文旅品牌、加强基础建设、环境提升整治、园区改造升级等重大项目、重大工程建设中,通过市场化方式解决项目建设资金瓶颈问题。
三、强化投资要素保障
围绕基础设施、产业发展、民生事业等领域,千方百计破瓶颈、解难题,持续扩大有效投入,统筹推进项目实施。强化资金、用地、用能、用工等要素保障,营造良好投资环境。建立台账,倒排工期、逐项调度、全力推进,加快形成热火朝天、你追我赶抓投资促发展的良好氛围。
第三节推动贸易高质量发展
发挥高速公路等基础设施建设的支撑作用和对外开放的促进作用,聚焦文化旅游、食品加工、生物医药、健康服务产业等创新突破,提升产业升级与贸易发展的联动效应。
一、增强贸易发展动能
营造贸易发展环境,创新商业模式和贸易业态,壮大有机农业、绿色食品加工等新产业,促进二次创新,集成新的竞争优势,增强贸易发展的内生动力。完善贸易经济支持政策,集聚和培育一批高能级贸易主体,支持打造花卉等区域供应链管理中心,鼓励企业完善营销和服务保障支撑体系,支持企业建立国内外多层次营销服务网络。
二、优化贸易发展格局
坚持县域内外需协调,推动平衡发展,以更大范围、更广领域、更高层次的开放,通过“走出去”与“引进来”相结合带动贸易增长,加强与贸易伙伴利益交叉联系,形成更加和谐稳定的发展环境,共创更大市场空间。
专栏13 坚持扩大内需建设重点工程 |
本地商贸企业培育壮大工程。积极引导本地商贸企业做大做强,形成多渠道、多层次、网格化的消费市场体系,鼓励限额以上企业扩大经营规模、扩张经营领域,支持限额以上企业抓住各种节日时机,加强宣传,采取合理促销手段积极引导消费,拉动消费增长。 国内外“名店”“名企”入驻工程。实施大型商贸流通龙头企业引进计划,加大国内外知名零售品牌企业和知名连锁品牌酒店项目引进力度,推进名品入店、名店入街,满足中高端消费需求。 实体零售企业创新转型示范工程。推动传统餐饮住宿企业转型升级,引进“绿色饭店”“智慧餐厅”“无人餐厅”“乡间民宿”等新业态,促进文旅与食宿融合,推行“智能订单”“刷脸支付”“用完就走”,提升消费体验。 高品位特色商业街区打造工程。建设以西正街为主的高品位特色商业街,提升城市品位,促进城市高质量发展,刺激夜间经济,不断丰富街区业态种类、完善配套设施、提升服务功能。 核心商圈培育和打造工程。结合城镇化,提升优化传统商圈,在成熟社区和新小区打造和培育一批新商圈。 |
第十章坚持创新驱动,着力塑造发展新优势
坚持创新在现代化建设全局中的核心地位,把科技自立自强作为发展的战略支撑,面向科技前沿、面向经济主战场、面向国家重大需求、面向人民生命健康,深入实施科教兴国战略、人才强国战略、创新驱动发展战略,完善创新体系。通过强化战略科技力量,完善科技创新体制机制,提升企业技术创新能力,激发人才创新活力。
第一节大力推动科技创新和成果转化
依靠科技创新推进产品创新,改变要素使用方向,优化资源配置。坚持转变发展方式,推动姚安县域经济发展向主要依靠科技进步、劳动者素质提高、农业物质装备条件改善和社会化服务能力提升转变。
一、深化科技创新与成果转化
有力推动惠农强农富农政策以及新技术、新品种、新模式进村入户到田间地头。设立绿色农业科技研发专项资金,积极开展农作物品种选育、新品种新技术试验示范推广、高产模式攻关等。强化基层农技推广体系建设,推广农业生物技术、信息技术、智能技术和现代食品生物技术,加强新品种、新技术、新模式、新机制“四新”综合应用和良种、良法、良壤、良灌、良机、良制“六良”配套推广应用,推进农业科技进村入户到田工程。推进现代产业园区建设,大力推广运用新材料、新设备、新机具、新能源,发展高效设施农业,加快科技成果研究和转化应用,开展高新技术企业认定申报,完善县、乡(镇)、村(社区)三级科技队伍建设,推进科技成果集成应用。
二、加强现代产业技术体系建设
围绕绿色农产品产业链部署创新链,建设集特色农产品生产、加工、销售为一体的现代产业园区;引进一批成长型、行业领军型、科技创新型和加工示范型龙头企业;大力提升农业科技创新能力,借助科研单位的人才技术优势,指导帮扶本土加工企业攻克一批产业发展的关键核心技术难题,打造一批农业科技示范样板基地,推广一批优质绿色高效技术模式,打造一批国家级、省级绿色有机农产品品牌。培育农业科技示范园,扶持农产品深加工科技型企业,依靠科技进步,改造提升传统优势产业。
三、加强全民科学素质建设
按照“政府推动,公民参与,提升素质,促进和谐”的工作方针,进一步完善全民科学素质提升工作机制,精心组织青少年、农民、城镇劳动人口、领导干部和公务员五类重点人群科学素质提升工作,广泛开展群众性科普活动,加强科技教育、传播及普及,精心打造普惠创新、全面动员、公民参与的社会化科普格局,全面推动新时代科普工作,全县公民科学素质提升指标达到省、州确定的目标之上。
第二节完善创新体制机制
把创新摆在姚安发展全局的核心位置,加快推动创新要素聚集,着力理顺创新体制机制,鼓励创新,推动形成创新良好氛围。
一、创新投融资机制
创新管理体制,向以突出市场化的体制机制、管理运营、发展方式转变;通过引导成立产业基金、社会资本与政府投资结合等形式,实现产业升级,加快姚安产业发展;建立以市场化为主体的招商、引资、开发、管理和运营机制。
二、创新政府购买公共服务方式
科学有效地引导社会力量广泛参与政府购买公共服务,构建以绩效管理为核心的政府购买公共服务的监督管理体系。有效引导要素供给,激发姚安县发展的内生动力和活力。
第三节加强创新型企业培育
发挥市场对技术研发方向和创新资源配置的导向作用,建立和完善企业为主体的产业技术创新机制,促进企业真正成为技术创新决策、研发投入、科研组织和成果转化的主体,培育一批核心技术能力突出、集成创新能力强的创新型领军企业。
一、优化发展政策环境
围绕营造企业科技创新的优良环境,出台一系列科技政策措施,从加大企业科技投入、加强科研平台建设、推进科技成果转化和科技金融结合等各方面,帮助企业加强科技创新,提升研发能力,做大做强。全面落实企业研发费用加计扣除、高新技术企业税收优惠等减免政策,支持企业加大研发投入,增强科技创新的内生动力。完善科技政策实施程序,广泛听取企业和社会公众意见,定期跟踪分析科技政策落实情况,确保各项创新政策真正惠及企业、推进发展。
二、提升科技创新能力
围绕科技型企业技术创新需求,实施“小升规”企业培育工程,加强对企业科技项目、科研平台、科技金融、创新创业等的系统培训,推动科技型企业加强科技攻关,提升创新能力,不断做大做强。严格按照国家科技型中小企业评价标准和程序,强化服务,以评促建,帮助科技型企业完善条件,加大投入,提升层次。通过进一步完善创新引领型企业“微成长、小升高、高变强”梯次培育机制,形成以创新龙头企业为引领,以高新技术企业为支撑的创新引领型企业梯次发展体系,带动全县科技创新能力的持续提升。
三、科技金融发展动力
政府部门面向科技型企业组织实施企业科技创新贷款贴息项目,发放财政支持资金,带动银行加大对企业科技贷款,持续扩大企业创新规模,提升创新能力。联合银行签署科技金融战略合作协议,在全县范围内开展科技型企业融资评比活动,组织申报省科技贷、知识产权质押贷款,为企业科技创新提供充裕的资金支持。
第四节加强创新人才培养
注重科技创新人才、研发团队、创新创业服务人才的培养与引进,实施高层次人才开发计划和拔尖人才资助项目。
一、完善优秀人才引进机制
结合姚安县绿色食品加工、现代农业、文化旅游、健康服务业等领域的人才需求,引进并培养高层次人才队伍。完善优秀人才引进机制,落实姚安产学研合作培养与异地人才引进战略。加强基层专业技术人才培养,探索解决基层专业技术人员职称评聘不同步问题的新途径。加快新型农民培养,加大农村实用技术培训力度,进一步提高农业科技应用水平。加大电子商务技能培训力度,突出网商孵化和电商人才培养。
二、加强本土人才培养
按照“政府推动、公民参与、提升素质、促进和谐”的工作方针,大力实施“彝乡英才”培养工程和“云岭英才”计划,统筹推进党政人才、企业经营管理人才、专业技术人才、高技能人才、农村实用人才、社会公正人才等各类人才队伍建设。进一步完善全民科学素质提升工作机制,精心组织青少年、农民、城镇劳动人口、领导干部和公务员五类重点人群科学素质提升工作,广泛开展群众性科普活动,加强科技教育、传播及普及,精心打造普惠创新、全面动员、公民参与的社会化科普格局,推动新时代科普工作全面推进,全县公民科学素质提升指标达到省、州确定的目标之上。
三、推进创业孵化基地规范化建设
以“大众创业,万众创新”为主线,重点扶持一批特色突出、功能完善、承载力强,具有一定示范和带动效应的创业园和创业孵化基地,完善“预孵化+孵化器+加速器+产业园”接力式孵化与培育体系,充分发挥政府在推动创新创业服务方面的积极作用,引导社会力量,多方整合资源,着力打造低成本、便利化、全要素、开放式创新型孵化载体,带动更多的有创业意愿的劳动者实现就业创业。实施“大学生创业引领计划”,加大创业担保贷款扶持力度,强化各类大学生创业孵化基地建设。大规模开展创业培训,提升公共就业服务机构创业服务能力。
四、促进人才培养和产业创新同频共振
充分发挥企业重要主体作用,引导多元主体共同参与,促进人才培养供给侧和产业发展需求侧结构要素的全方位融合。在农产品加工、电商等领域与优质院校开展产教融合试点,加快培育建设一批产教融合型企业,推行企业新型学徒制校企合作、“互联网+”职业培训等培训模式,示范带动产教融合提质增效。落实产教融合型试点企业税收、资金支持等优惠政策。
第五节激发创新创业活力
把握“双循环”带来的新机遇,发挥姚安县生态环境、历史文化、交通区位等优势,加快培育以新技术、新产品、新业态、新模式为标志的创新创业新经济。
一、拓展创新创业发展空间
坚持创新引领发展,加快促进新旧动能转换,大力发展新产业新业态,不断拓展就业。坚持包容审慎原则,引导零工经济、地摊经济、夜间经济发展,扩大灵活就业、新就业形态空间。构建更有利于扩大就业的现代化经济体系,优先支持吸纳就业能力强、潜力大的现代服务业、部分劳动密集型行业和小微企业,鼓励民营企业发展。
二、强化返乡创业支持政策
金融部门要围绕农产品加工、高原特色现代农业等主导产业,创新金融信贷产品,设立农村青年创业小额贷款贴息担保基金,提升创业扶持力度,引导信誉良好的成长型科技企业,组织申报科技信贷、科技保险、融资担保、知识产权抵押等科技金融补助项目,促进企业尤其是科技型中小企业的发展。支持大学生、农村青年、致富能人返乡下乡创业,完善青年返乡下乡创业培训体系,构建“培训提升—展示交流—要素对接—成果转化”产业生态链。采取奖励、补贴减免税费等方式,对创业电商进行扶持,优化电商发展环境,调动企业、高校毕业生、返乡青年等群体参与农村电子商务发展的积极性。
专栏14 创新发展重点工程 |
医疗器械一次性输液器生产。新建一次性输液器医疗器械生产线及配套设施。 智慧农业建设。规划建设数字田园、智慧养殖、农产品电子商务等综合性高科技智能型数字农业体系,实施地点9个乡镇。 基层农技推广服务体系。建立健全县乡村三级智能化农技推广服务体系。 栋川镇基层农技推广服务体系。建立健全镇村二级智能化农技推广服务体系。 姚安县科技三区人才培养。培养一批科技三区人才。 工业大麻院士专家工作站建设。在工业大麻产业领域引进院士专家及其团队,建设工业大麻专家工作站。 姚安县刘庆信专家工作站。引进刘庆信专家及其团队,建设刘庆信专家工作站,引进新品种,研究其在我省高原蚕区的试繁、中试、示范、推广等技术。 专业技术人才知识更新。为多层次、多形式的专业技术人员培养培训搭建示范性、引导性、公益性平台。推进分类分层的专业技术人才继续教育体系建设,大力提升专业技术人才能力素质,为建设创新型姚安、推动经济社会发展提供人才支撑。 高技能人才振兴计划。一是技能大师工作室建设。建设一批技能大师工作室,开展培训、研修、攻关、交流等活动。二是新技师培训。加大高技能人才培训力度,重点是经济社会发展急需、紧缺行业(领域)技师、高级技师培训。 电商创业园建设。建设集电子商务企业创新创业、孵化、培训、营销为一体的电子商务创业园。 中小企业创业孵化园。按照产业集聚、集约、高效、节能环保的原则,建设中小企业创业孵化园,规划建设新型建材区、机械加工区、绿色食品区、创业培训及生活服务区。 “双创”园区开发。采取“政府引导、市场化运作”的经营机制和“行政化管理、企业化经营”的运营模式,以创业创新资源整合及服务创新为发展战略,形成以市场为导向,集研发设计、知识产权、技术转移、风险投资、创业孵化、生产制造、新材料、信息服务、软件开发、教育培训、展览展示等功能于一体的园区。 “姚安云”数据中心。依托通信运营企业互联网数据中心,积极建设“姚安云”数据中心和数据共享交换平台,推进各类数据资源向“姚安云”数据中心汇聚,推动信息跨地域跨层级共享。 西南星空城大数据中心。新建西南星空城大数据中心等设施。 兴姚英才回巢计划。鼓励在外大学生、科研人员、企业家关注家乡、支持家乡、积极投身家乡的建设和发展,吸引人才“回巢”服务姚安发展。 省级科普示范县。加强公民科学素质建设,提升基层科普服务能力,扎实开展围绕重点人群的科学素质教育工作,进一步营造良好科普工作的社会氛围,及时总结推进公民科学素质建设的典型经验五项工作,不断提升全民科学素质工作能力,争取通过上级考评,成功实现省级科普示范县创建。 姚安县科技馆。完善现代科技馆体系建设,积极争取纳入全省科技馆建设项目库,完善以姚安县天文科普特色为主的科技馆建设工程,形成科普教育、体验科学和现代科技“多维一体”的县级科技馆。 |
第十一章坚持区域协调,着力深化改革扩大开放
全面深入落实财税体制、医药卫生体制、教育体制、科技体制、生态文明体制、对外开放体制、社会组织管理制度等各项改革,做到深化改革“一盘棋”。全面拓展开放通道,深化与楚雄、大理、昆明等地的区域合作。
第一节持续全面深化落实改革
坚持社会主义市场经济改革方向,围绕建设高标准市场体系,深入推进重点领域改革,为姚安高质量开放发展增强动力。
一、深化落实行政审批制度改革
转变政府职能,精简行政审批事项,进一步理顺政府和市场的关系,营造有利于企业家和外来投资者干事创业的良好环境,深化行政审批制度改革,推行政府权力清单制度,优化审批流程,全面优化政务服务体系,加快推进一体化政务服务平台,深入开展“互联网+政务服务”,提高政务服务效率,打造高效、廉洁的服务型政府。
二、深化落实农业农村改革
不断推进以农村土地、林地、宅基地及农村集体产权等为主的农村综合改革,为各类企业、专业合作组织等新型农业经营主体配套辅助设施,配置用地并提供优惠。鼓励盘活利用闲置宅基地、生产用房,通过自主经营、合作经营、委托经营等方式,投入乡村产业,发展民俗文化、特色农家乐、民宿、乡村旅游等。建设城乡统一的建设用地市场,加快推进建设用地市场化改革。大力培育新型农业经营主体,促进土地股份合作、土地托管和代耕代种代养,发展适度规模经营,把小农户带入产业链、大市场。深化农村集体产权制度改革,发展新型农村集体经济。健全农村金融服务体系,发展农业保险。
三、深化落实财税金融体制改革
全面落实深化金融改革,提高金融服务实体经济的能力。充分发挥金融市场作用,逐步构建多功能、多层次的金融市场体系;深化落实财税体制改革,持续推进预算管理制度改革,全面实施预算绩效管理,加大预算公开改革力度。贯彻落实税制改革举措,严格执行国家税收优惠政策,全面落实国家减税降费各项政策措施,落实推进增值税、消费税等税收制度改革。严格执行地方政府债务限额管理。
四、深化落实民生领域改革
深化落实社会事业体制改革,提升社会事业服务水平,增强群众生活的幸福感。深化落实医药卫生体制、医疗保障制度改革,推进医药服务供给侧改革,建立现代医院管理体制,提高重大疾病防控能力,持续推进公共卫生服务水平均等化。深化落实社会保障制度改革,深入推进基本养老保险制度改革,优化简化低保、临时救助审核审批程序和手续,统筹完善社会救助、社会福利、慈善事业、优抚安置等制度。
第二节构建对外开放新格局
紧紧抓住国家推动新一轮高水平对外开放新机遇,主动融入和服务国家发展战略,围绕云南面向南亚东南亚辐射中心建设,发挥姚安县位于环楚雄半小时经济圈、大理一小时旅游圈、昆明一小时都市圈的“三圈”交汇节点,以及连接滇中、滇西和川渝双城经济圈的区位优势,不断拓展对外开放的广度和深度,加大招商引资力度,为姚安发展引入外力、注入活力。
一、推动对内协同发展
积极主动参与滇中城市经济圈、南永经济带、楚北经济带的分工合作,加强与大姚抱团发展,找准产业分工合作、交通路网协作建设的切入点与着力点,提升姚安融入大局、融合发展的能力与水平;主动承接发达地区的产业转移,做好周边的配套服务,促进网络市场与实体市场融合发展,努力提升经济发展包容性与外向度。办好民族民俗旅游等各类特色节会,积极创造条件参与各类高端品牌展会,打造对内对外互利共赢的合作交流平台;全面创新开放模式,拓宽开放领域,推动开放型经济跨越式发展。
二、提高招商引资水平
健全招商引资推动机制,创新招商理念和招商方式,重点加强与楚雄、大理、昆明三个经济圈的发展联系,借助对外开放增强自身发展活力。立足姚安比较优势,依托日益改善的交通运输条件,大幅提高对外开放程度,积极承接产业转移,大力开展产业招商和招大引强工作,重点引进一批科技含量高、产业链长、辐射带动强的大项目、好项目,优先发展绿色食品加工、旅游、康养等产业,助推全县产业优化升级。实施精准招商,瞄准产业链龙头和创新链前端,强化专业招商、驻点招商、以商招商、会展招商、平台招商,强化招商活商政策扶持力度,提高招商引资、招才引智质量。
专栏15深化改革扩大开放举措工程 |
完善“一窗通”平台。推进“多证合一”“证照分离”改革,实施“一部手机办事通”,推进政务事项“掌上办”“指尖办”。提升“互联网+政务服务”水平,积极实施全程电子化、企业名称网上自主申报、网上审批等系列措施,积极为投资创业创造公平的准入环境。 政务服务中心智能化升级改造。进一步升级改造网上政务服务平台,对实体大厅进行智能化、网络化、数字化改造,推进实体大厅和网上大厅线上线下融合,打造“办事不求人、审批不见面、最多跑一次”和“全程服务有保障”的政务服务新环境。 |
第十二章坚持民生为重,着力建设幸福健康姚安
围绕人民群众最关心最直接最现实的利益问题,协调推进就业、教育、医疗卫生、文化等公共服务均等化,完善社会保障制度,切实保障和改善民生,打造幸福健康姚安。
第一节优先发展教育体育事业
全面推进教育普及,深化教育改革,积极推进教育现代化,形成从学前教育、义务教育、高中教育到职业教育、成人教育、老年教育的较为完善的终身教育体系,加快教体融合。
一、全面推进教育普及
优先发展教育,深化教育体制改革,积极推进教育现代化,促进高中阶段教育逐步走向普及,基本建成终身教育职业教育体系。推进“一乡一公办”和“一村一幼”建设,普及有质量的学前教育,建立政府主导、社会参与、公办民办并举的办园体制,大力发展公办幼儿园,积极扶持民办幼儿园,健全完善县、乡、村三级学前教育网络。大力控辍保学,促进义务教育优质均衡发展。提升高中阶段教育普及水平,鼓励普通高中特色发展,不断改善办学条件,扩大办学规模,实现普通高中规模、质量、效益协调科学发展,力争“十四五”末高中教育质量达到全州中等水平。大力发展职业教育、成人教育、特殊教育,以托管办学为契机,加快骨干专业建设和双师型队伍建设,全面提升办学水平和效益。以市场需求和就业为导向,走校企结合、校校联合的发展路子,形成多元化办学格局支持社会力量办学。到2025年,全县学前三年毛入园率达95%以上;九年义务教育巩固率保持在98%以上,义务教育优质均衡发展走在全州前列;全县高中阶段毛入学率达95%以上;开展特殊教育服务工作,力争“十四五”期间争创建设特殊教育学校1所,残疾儿童入学率保持在98%以上。
二、加快发展民办教育
贯彻发展民办教育政策,鼓励社会力量采取多种形式举办民办教育,引导社会资本重点发展非义务教育,依法保障民办学校的合法权益,落实民办教育发展的优惠政策,加强对民办教育的扶持与管理,逐步形成以政府办学为主,民办教育为补充,社会各界共同参与办学的格局。力争在“十四五”期间民办幼儿园覆盖全县所有乡镇。
三、加强教师队伍培训
坚持以创新为动力,逐渐从偏重知识传授向注重能力培养的方向转变,实现新形势下干部教育培训工作创新。加大干部教育培训经费投入,按照教师培训经费不低于学校年度公用经费预算总额的5%。加强党员干部队伍培训阵地建设,持续完善党校设施,提高办学培训条件,切实满足党员干部的培训需求。加强党校教师队伍建设,优化队伍结构,着力打造一支高素质教师队伍。
四、提升教师队伍素质
加强教师队伍建设,提高教师综合素质。以县教师进修学校为依托,以州职业教育教师培训中心为引领,对教师实行每五年一周期的全员培训,全面提高教师整体业务水平。加强校长培训,每年选送80名优秀中小学校长到国内教育发达地区和国外培训,促进校长专业化。加强骨干教师队伍建设。建立中小学骨干教师选拔培养和管理制度,实行中小学骨干教师津贴,推进实施“三名”工程。到2025年,全县选拔培养特级教师5名,国家级骨干教师5名,省级骨干教师120名,州级骨干教师150名,县级骨干教师260名。职业学校培养学科带头人省级2名,州级4名。积极支持、鼓励各级各类教师提升学历和学位,参加社会实践活动,增强业务能力,努力建立一支高学位、高学历和高水平的教师队伍。加大“三制改革”力度,进一步激发教育活力。全面落实乡村教师支持计划。建立健全统筹规划、统一选拔的乡村教师补充机制,扩大农村教师特岗计划实施规模,适时提高特岗教师工资性补助标准。大力支持和鼓励乡镇根据当地教育实际需求加强本土化培养,采取多种方式定向培养“一专多能”的乡村教师,造就一支素质优良、甘于奉献、扎根乡村的教师队伍。到2025年,力争使乡村教师资源配置得到改善,教育教学能力水平稳步提升,各方面合理待遇依法得到较好保障,职业吸引力明显增强,逐步形成“下得去、留得住、教得好”的城乡教师交流长效机制。
五、加强学校基础设施建设
科学规划,统筹安排,均衡配置,着力加快推进城乡义务教育公办学校标准化建设,加快实施学校建设项目和教育信息化项目,使全县中小学生均占地面积、生均校舍面积、师资、教学仪器设备、图书、体育场和绿化美化面积等指标基本达到国家标准。按照《关于加强新时期中小学图书馆建设与运用工作的意见》要求,基本建成与深化课程改革,实施素质教育相适应的现代化图书馆建设、管理和服务体系。支持办好现有的乡镇、村幼儿园,重点支持少数民族、贫困乡镇充分利用中小学布局调整后富余校舍和社会资源,办好乡镇和村级幼儿园。改扩建农村学校寄宿设施,改善农村学生特别是留守儿童寄宿条件,不断提高农村办学条件。加快优质均衡、优质高中和职业教育基础建设,扩大办学规模。实施好教育信息化工程,建设教育大数据中心,形成覆盖学前教育、义务教育、普通高中阶段教育的全学科“校本资源库”。开展“智慧校园”“智慧课堂”创建,优化教育治理能力,探索利用人工智能、互联网开展远程教育,促进优质教育资源共享。
第二节持续推进医疗卫生事业
推进卫生健康基础设施建设,着力提升医护人员素质,不断提高医疗机构的综合服务水平,全面落实大健康计划。
一、加强医疗队伍建设
加大医疗卫生公共事业的财政资金投入,在基础设施、人员薪资、项目建设上加大资金支持力度;补齐人才短板,建立健全姚安县医疗卫生事业人才引进优惠政策,增加编制,着力解决“招人难、留人难”的现实问题。加强村医管理,将村医队伍纳入统一的薪酬体系,提高村医待遇,进一步规范村医行为。深化基层医疗卫生机构综合改革,建立合理的基层医疗卫生机构补偿机制,落实政府对基层医疗卫生机构的专项补助和经常性补助政策,推进以岗位聘用为核心的人事、分配制度改革,稳定基层卫生队伍。
二、深化医药卫生体制改革
一是深化基层医疗卫生机构运行机制改革。以“完善平台功能、建立基本标准、健全激励机制、构建家庭医生制度”为目标,深化基层医疗卫生体制运行机制改革。规范基层卫生服务基本项目,明确基本标准、质量规范、服务责任。以全面预算管理为基础,做实和创新收支两条线管理。完善“多劳多得、优绩优酬”的薪酬分配机制。坚持自愿、优惠的原则,做实家庭医生签约服务,推进群众与“1+1+1”医疗机构组合签约,形成基层首诊、双向转诊、急慢分治、上下联动的分级诊疗秩序。开展家庭医生管理签约群众医保费用试点,使家庭医生成为群众健康的守门人。
二是进一步深化县级公立医院改革。坚持县级公立医院公益属性,破除逐利机制,建立现代医院管理制度。落实政府领导、保障、管理、监督责任,完善政府对公立医院的外部治理机制,建立公立医院医疗服务评价体系,与规划控制、政府投入、医保支付、费用监管、薪酬核定、信息公示等管理手段联动,形成以服务产出为依据、以结果为导向的公立医院资源配置机制。强化办医主体地位和作用,完善医院内部管理机制,健全全面预算管理、岗位管理、质量控制、成本控制、内部绩效考核与收入分配等管理制度。逐步实施医药分开改革,取消药品加成(不含中药饮片),完善药品供应保障机制。理顺医疗服务价格,建立综合补偿机制。公立医院药占比(不含中药饮片)降低到30%左右,医疗收入(不含药品收入)中卫生材料占比降低到10%左右。
三是统筹推进药品供应保障体系建设。完善基本药物制度,增加基层医疗卫生机构中心基药目录外医保药物品种数量,优先满足签约居民用药需求,逐步提高二级医院基本药物使用比例。按照分类采购原则,健全药品带量采购、挂网采购、价格谈判等工作机制,探索医疗机构药品集中采购。县级医院医用耗材纳入药品采购统一管理。优化医药集中采购服务与监管信息系统,实现全程信息化管理。
四是推进医药卫生监管体制综合改革。完善医疗服务监管平台,推进医疗机构绩效评价,切实加强医疗服务监管。建立健全信息公示制度,逐步将社会关注度高、体现医疗机构公益性的运行指标和监管评价结果向社会公示。推进医疗机构依法执业分级分类管理,加强全程监管。建立医疗卫生服务和药品耗材采购供应信用管理机制。完善卫生医保联动机制,以医保病人自费医疗费用管理为重点,加强定点医疗机构和执业医师医疗服务行为监管,降低医保病人费用负担。
三、持续提升医疗综合服务和救治能力
大力实施健康中国战略,以深化医药卫生体制改革为统领,推进紧密型医共体建设,建立全面覆盖城、乡、村三级居民的基本医疗卫生制度,人均预期寿命和健康寿命均明显延长。提高基本医疗卫生服务全覆盖,全面改善农村地区医疗卫生条件。加强公立医院建设、管理和考核,积极推进药品和医用耗材集中采购改革。巩固提升县人民医院二级甲等综合医院、县中医医院二级甲等中医医院及县妇幼保健院二级甲等妇幼保健院评审成果。继续巩固县人民医院提质达标成果,实施好县中医医院能力提升项目。以医联体、县域紧密型医共体建设和家庭医生签约服务为抓手,全面推行分级诊疗。建设巩固县人民医院胸痛中心、卒中中心创评成果,积极创建危重新生儿救治中心。初步形成覆盖全县急诊急救服务的快速救治网络,支持社会办医,鼓励县医院、县中医医院与省内优质医疗资源开展合作、协作,推广远程医疗,提升重大急性病医疗救治质量和效率。提升健康教育、慢病管理和残疾康复服务质量。
四、全面实施大健康计划
加强对中医药产业的投入,在学科建设、人员配备等方面持续发力,着力解决中医传承难的问题;进一步落实生物医药大健康相关项目,围绕“智慧姚安”和“医养结合”两个主题,重点打造信息化诊疗建设、精神康复等项目建设。以“高效生态、道地优质”为目标,新建一批、完善一批、提升一批道地中药材生产基地。积极引导、鼓励国内知名医药企业在姚安县兴建中药材生产加工基地。持续实施云南省“定制药园”计划,继续扶持姚安县本土企业种植茯苓、续断、重楼、葛根、丹参、万寿菊等连片的道地中药材规范化种植基地。
五、完善疫情防控救治应急体系
强化基于公共卫生事件的风险检测和评估,进一步完善应急预案体系。完善突发公共卫生事件应急指挥系统。加强公共卫生机构、医疗机构及时应急联动。加强卫生应急装备标准化建设,规划卫生应急物资储备。在疾病预防控制、院前急救、精神卫生等方面建立公共卫生应急制度,全面贯彻实施院前急救政策法规,完善院前急救体系,加强120指挥中心建设。加强医院急诊ICU综合抢救能力建设。提升突发疫情应急处置和传染病患者综合救治能力。提高社会公众的危机意识和自救互救能力,夯实卫生应急社会基础。加强医疗机构与医学院校、疾控部门、科研机构、重点实验室等沟通联系,建立常态化工作机制,针对突发公共卫生事件与重大疫情联合开展流行病学调查、疾病预防、药物研究、疫苗研发科研攻关。打造智能化疫情救治体系,鼓励与引导互联网、大数据、云计算、区块链和人工智能技术等科学运用到临床医疗救治中,促进医院、专家与相关医疗资源高效整合,切实提高疾病诊断与危重症病患救治能力。
六、深入开展爱国卫生运动
继续巩固提升“云南省卫生县城”创建成果,积极争创“国家卫生乡镇(县城)”,进一步加大文明卫生城镇创建力度和农村改水、改厕力度。加强农村卫生环境整治,加大“除四害”工作力度,进一步改善农村居民的劳动生活环境。积极推进“全国亿万农村健康促进活动”,提高人民群众基本卫生知识知晓率和中小学健康教育开课率,增强农村居民的健康意识和自我保健能力,倡导文明健康生活方式,促进人群健康相关行为的形成。落实控烟各项措施,积极开展控烟宣传教育,提高公众对烟草危害的正确认识,全面推行公共场所禁烟,创建无烟卫生健康机构,无烟学校,无烟单位。以健康城镇建设为抓手,整合全县健康教育资源,大力开展健康教育、健康促进工作,着力推进健康人群、健康环境、健康政策“三位一体”发展。积极倡导全民健康生活方式,深入开展居民健康自我管理,推进健康场所建设。加强全民健康科普,建设健康教育科普传播平台,推广健康促进支持工具,进一步提高居民健康素养。依法推进无烟环境建设,开展戒烟服务网络建设试点,加大控烟监管和社会共治力度,逐步降低法定禁烟区域的二手烟暴露率。
第三节多措并举稳定就业质量
积极创新就业模式,拓宽就业渠道,扩大就业容量,促进充分就业,着力解决结构性就业矛盾,建设具有针对性地完备的就业服务体系。
一、积极拓宽就业渠道
在“双循环”的新发展格局下,创新就业模式,积极拓宽就业渠道。实施包容审慎监管,促进数字经济、平台经济健康发展,加快推动网络零售、移动出行、线上教育培训、互联网医疗、在线娱乐等新行业发展,为劳动者居家就业、远程办公、兼职就业创造条件。鼓励互联网平台企业、中介服务机构等降低服务费、加盟管理费等费用,创造更多灵活就业岗位,吸纳更多劳动者就业。鼓励支持创业带动就业,完善创业扶持政策,落实相关税费减免等优惠政策,大规模开展创业培训,推进创业孵化基地规范化建设,认定一批创业孵化示范基地,组织创业创新大赛和交流活动,营造良好的创业创新环境。
二、完善就业服务体系
完善高校毕业生、农民工和贫困劳动力等重点群体的就业支持体系,加大创业扶持力度,建立创业信息、政策发布平台,支持大中专毕业生自主择业、农民工返乡创业,引导城镇失业人员等其他各类人员以创业促就业,加快推进公共就业创业服务平台、农民返乡创业园等工程建设。健全就业指导、职业培训、就业见习等服务机制,加强就业观念引导和劳动精神、职业精神培训。建立健全劳务输出对接机制,提高劳务输出就业的组织化程度。扩大再就业培训、职业技能培训的人员数量和频次,加强就业援助和帮扶,建立健全劳动者终身职业培训体系。实施农民工、高校毕业生、退役军人、残疾人等群体就业专项培训计划。完善创新创业激励机制和人才引进、流动保障机制,开展“兴姚英才回巢计划”,加紧做好紧缺人才引进、青年人才储备、兴姚英才激励工程。加大“贷免扶补”、创业担保贷款政策扶持和初创实体支持力度,支持和规范发展新就业形态。
三、加强就业失业统计监测体系建设
构建覆盖劳动力市场、企业用工主体和劳动者个体的就业失业统计调查体系,综合运用宏观经济数据、网络招聘数据、社保数据、客运和移动通信大数据,监测劳动力市场变化,掌握劳动力流动趋势,及时有效反映就业失业状况,更好地服务宏观决策。
第四节加快健全社会保障体系
加快建立更加公平、更有效率、更可持续的社会保障制度,构建基准适度、稳定有效的社会保障网和养老服务、社会救助体系,完善城乡住房保障供应体系,密织养老助残服务网络。
一、进一步完善社会保险体系
加大贯彻落实城乡居民基本养老保险、失业保险、工伤保险等的力度,积极融入省级统筹,扩大社会保险覆盖面,持续推进全民参保专项行动。加快推进姚安县工伤预防专项行动计划、工伤康复示范平台、社会保险公共服务平台、社会保险标准化、退休人员社会化管理服务等工程建设。巩固企业职工养老保险省级统筹成果,推动实现企业职工养老保险省级统收统支。继续完善城乡居民基本医疗保险制度和大病保险制度。持续提高社保基础数据质量,提升社保数据使用价值。积极发展商业医疗保险。健全退役军人工作体系和保障制度。
二、实现城乡社会救助体系全覆盖
完善建立社会救助网上申请、审批手续,实现信息化管理的目标。健全和完善面向老年人、残疾人和未成年人的福利补贴和重点人群分类施保制度,实现托底性民生保障的可持续发展。全面建立低收入家庭经济状况核对机制,实现社会救助信息化核对、网络化管理,实现核对信息资源共享。全面建立临时救助制度,对因病、因灾等特殊原因造成生活暂时困难的家庭,以及收入略高于最低生活保障标准,但生活确有困难的低收入家庭实施阶段性生活救助。加强临时救助与医疗救助之间的衔接,合理确定临时救助标准。进一步推进低收入重度残疾人家庭无障碍改造工作,方便残疾人居家生活。
三、强化养老保障和服务体系建设
努力促进社会公平,切实改善困难老年人生活质量;加快养老服务业发展,建立以居家养老为基础,社区服务为依托,机构养老为补充的老年生活照料服务体系;建立与人口老龄化相适应的,精干高效的养老服务工作体制,大力发展老年文化、体育、教育事业,丰富和活跃老年人的精神文化生活;广泛深入地开展敬老爱老活动,弘扬中华民族的传统美德,进一步营造敬老、养老、助老社会氛围。建设养老服务机构,实现村(社区)全覆盖。加大对中心敬老院、前场镇敬老院的改造,提升服务质量。对官屯镇敬老院、大河口乡敬老院、适中乡敬老院进行改扩建,扩大养老机构规模,提高集中供养率,改进服务质量,提升服务水平。进一步推进低收入重度残疾人家庭无障碍改造工作,方便残疾人居家生活。
第五节繁荣发展社会文化事业
进一步深化文化体制改革,大力实施文化惠民工程、文化育民工程、文化乐民工程和文化富民工程,推动姚安县文化建设与经济建设、政治建设、社会建设和谐进步、协调发展。
一、提高社会文化服务质量
继续扩大文化惠民工程覆盖面,完善县、乡、村三级文化网络,推进城乡公共文化服务体系一体化。实施文化惠民工程,广泛开展形式多样、内容丰富的群众性文化活动,以贴近实际、贴近生活、贴近群众的原则,改进和加强社会文化工作,不断增强文化的吸引力、感染力、凝聚力,用先进文化引导群众,优秀文化鼓舞群众,民族文化团结群众。实施全媒体传播工程,做强新型主流媒体,建强用活县级融媒体中心。不断推出反映时代新气象、讴歌人民新创造的文艺精品,持续提升姚安作家群的影响力。以县城中心广场及乡镇文化站、村社文化室为活动平台,以县文化馆和城乡各类业余文艺团体及文艺骨干为依托,以农村民俗文化、宗教文化、节庆文化、广场文化、生态文化和村社文化为活动内容,坚持经常性地开展各类群众文化活动,丰富群众文化生活,使群众能够就近、就地充分享受基本的文化权益,不断满足群众多层次、多样化的精神文化需求。
二、加强文化遗产的保护和开发
深入挖掘姚安传统文化,激发文化创新创造活力,展现姚安文化的独特魅力和时代风采。以姚安传统医药、彝族刺绣技艺和姚安花灯、梅葛、坝子腔三项国家级非物质文化遗产为重点,宣传展示姚安丰富多彩的非物质文化遗产,普及非遗知识和健康生活理念,提高人民群众对文化遗产的保护意识,营造全社会参与文化遗产保护传承的良好氛围。积极争取文物修缮资金,对各级文物进行修缮保护。对各级文物保护单位划定保护范围和建设控制地带,树立保护标志说明牌。加大文物征集经费投入,抢救征集社会流散文物,提高博物馆科普工作水平,增加博物馆科技含量,重点推广多媒体技术和信息技术在馆藏品研究、保管、展示方面的应用。
三、加强文化人才队伍建设
紧紧围绕国家、省、州文化体制改革和文化产业的发展目标,抓好“人才兴文”战略,抓实人才队伍建设,努力创造一个宽松的环境,拓宽人才开发渠道,培养一批出类拔萃、德艺双馨的文艺专门人才,培养一批既熟悉艺术规律又懂得市场运作的文化经营人才。抓好乡土民族手工艺人才的培养,通过展览推销活动,在当地学校和农村开设舞蹈、花灯、葫芦笙、石雕、根雕、彝族刺绣等培训班,为农村民族手工艺人才提供展示才能平台,培养学生及传承人。
专栏16幸福健康姚安重点工程 |
学前教育工程。完成姚安县幼儿园晋升省级一等幼儿园、县幼分园,完善形成县-乡镇-村三级幼儿园、小学学前教育体系,在教学场地、设备、校园建设、教学用房等方面进行全方位建设实施。 小学教育工程。完成姚安县栋川中心小学建设、思源实验学校建设以及乡镇小学教育建设等项目的建设,进一步完善智慧校园建设,形成“数据中心+智慧校园基础设施+智慧校园应用系统+智慧性资源”的较为完善的配套建设。 中学教育工程。完成姚安县一中、光禄中学、前场中学、弥兴中学、左门中学、城区初中、龙岗中学、大龙口中学等学校建设。 继续教育工程。完成姚安县老年大学、乡镇老年大学、村级老年大学教学点建设。 体育健康工程。完成适中乡体育建设中心、青少年健体培训中心、光禄镇高原体验训练基地、全民健身路径、温泉游泳馆、健康步道、体育公园、公共体育场、全民健身中心、乡镇级全民健身广场以及各个乡镇的体育健身项目等。 县人民医院扩建完善工程。完成感染性疾病科、医院精神病康复中心、住院医师(助理)规范化培训基地、前场中心卫生院分院门诊医技综合楼、县域介入(心、脑)治疗中心、县域内医学检验中心、县域内医学影像诊断中心、妇儿科综合楼等建设。 中医医院扩建完善工程。完成临时集中医院(病区)、中医医院三期建设项目(安宁疗护中心)、县中医医院光禄中心卫生院分院、县中医医院弥兴中心卫生院分院等建设。 县保健院妇婴医院住院综合楼建设。建设县保健院妇婴医院住院综合楼。 乡镇村级卫生系统建设。主要包括9个乡镇日间照料中心建设、村卫生室建设、栋川镇大龙口卫生院门诊医技综合楼建设等项目。 智慧医疗体系。主要包括姚安县医疗卫生智慧平台、“互联网+医疗智慧”产业园等项目建设。 公共就业创业服务平台。建设完善公共就业服务信息平台,实现各类就业创业信息共享和联网发布。建立就业补助资金业务经办平台,推进网上申报、网上审核、联网核查,并实现与财政部门的信息共享。 返乡创业示范县。实施返乡创业培训、返乡创业带头人培养、基层创业服务能力提升、育才强企、引才回乡五项行动计划。 农民工返乡创业园。努力创建姚安县农民工返乡创业园,为园区内企业及全县返乡创业人员提供更多的创业孵化机会。 失业动态监测。通过提供数据支持,帮助防范和化解地区性、行业性、规模性失业风险,有针对性地采取预防和调控失业措施,完善失业监测预警机制,进一步稳定就业局势。 公共职业技能实训基地。针对县内产业集中度高、技能培训需求量大的实际,建设公益性、示范性、综合性职业培训实训基地。 工伤预防专项行动计划。以工伤事故高发和职业病风险大的行业、企业为重点,发挥相关部门、行业协会和大中型企业的作用,建立部门联动机制,提高企业和职工的工伤风险意识,减少工伤事故和职业病的发生。 工伤康复示范平台。持续推动职业康复的开展,推进先康复、后评残。建立区域性工伤康复示范机构与地区级工伤康复服务机构相结合的工伤康复服务体系。 社会保险公共服务平台。推进社会保险服务事项标准统一、整体联动、业务协同,全面建成统一的社会保险公共服务平台,做到线上线下深度融合、功能更加完善、服务持续优化,实现全程网上运行和监督。 社会保险标准化。建立覆盖全面、重点突出、层次分明、结构合理的社会保险经办服务标准体系,全面贯彻实施重点标准,基本形成统一协调、运行高效的标准化管理工作机制和平台。 退休人员综合服务。建设机关企事业单位退休人员活动中心,搭建数据共享平台。打造退休人员社会化管理服务“生态圈”,创新管理服务方式。 残疾人健康保障工程。建设残疾人康复中心、残疾人综合服务中心、前场镇残疾人康复托养中心等项目。 老年人生活健康保障工程。完成姚安县敬老院扩建、农村敬老院提质达标、民办公助养老设施建设、村级老年活动室建设、居家养老服务指导培训中心建设、国际养生养老产业城等项目建设。 殡葬改革保障工程。主要包括县殡仪馆改扩建、永福陵园三期、农村公益公墓、村级红白理事会、乡镇级农村公益性公墓二期、边远乡镇火化设施建设等。 县文化场馆类建设工程。完成图书馆、艺术馆、博物馆、文化馆以及乡镇民族文化活动广场等项目的建设,形成智慧化服务系统。 县群众文化综合建设工程。建设综合性业余文艺活动中心,完成全县乡镇村组文化活动室的提升改造。 姚安县非物质文化遗产保护传承展演中心建设。全县国家级、省级、州级、县级项目及传承人、技能展示展演,涉及200多个传承人、包括花灯、坝子腔、梅葛和土陶、葫芦笙制作、石雕、根雕、等展示展演。 姚安县民族民俗创意产业园建设。以民族文化为支撑,建设集观光、购物、消费、娱乐为一体的综合项目。 姚安县影视节目创作。主要包括大型实景舞台剧《菩提女传奇》、大型电视剧《高奣映传奇》、大型电影《高氏大中国》等作品的剧本的创作、舞台剧场地、道具、音响、灯光的配置、导演、演员的招募、排练、后期艺术加工、剪辑等。 《欢乐荷城》大型综合娱乐项目。把姚安县境内的各种民族民间文化发扬光大,打造人人参与的文化品牌。 |
第十三章坚持和谐稳县,着力提升社会治理水平
坚持以习近平法治思想为指导,充分发挥党的领导核心作用、自治基础作用、法治保障作用、德治先导作用,加快推进法治姚安、平安姚安、和谐姚安建设,提高社会治理系统化、科学化、法治化、智能化水平。
第一节建设法治姚安
完善基层党组织领导、基层政府主导的多方参与、共同治理的城乡社区治理体系,全面提升城乡社区治理水平。
一、建立健全社会治理体系
完善党委领导、政府负责、民主协商、社会协同、公共参与、法治保障、科技支撑的社会治理体系,建设人人有责、人人尽责、人人享有的社会治理共同体,确保人民安居乐业、社会安定有序。坚持系统治理、依法治理、综合治理、源头治理。推进社会组织明确权责、依法自治、发挥作用。支持法治志愿服务组织,加强对社会组织和在姚境外非政府组织的管理。健全重大决策社会稳定风险评估机制。建立畅通有序的诉求表达、心理干预、矛盾调处、权益保障机制。完善人民调解、行政调解、司法调解的联动工作体系。深化安全生产管理体制改革,健全防灾减灾救灾体制。加强社会治安综合治理,创新立体化社会治安防控体系,完善社会治安防控体系,坚持专群结合、群防群治,提高社会治安立体化、法治化、专业化、智能化水平。依法严密防范和惩治各类违法犯罪活动。坚持积极利用、科学发展、依法管理、确保安全的方针,加大依法治理力度。
二、推进基层治理现代化建设
加强群众自治能力建设,完善基层法律援助机制,加强德治能力建设,提升群众性精神文明创建水平,进一步加强共建共治共享能力建设,提升城乡基层治理统筹协调水平,形成城乡信息化管理体系,加强基层权力监督能力建设,推动全面从严治党向基层延伸,强化对基层权力运行的制约和监督;加强基层民主政治建设,以扩大党内民主、基层民主带动社区居民民主,实现政府管理与城乡基层群众自治有效衔接。
三、全面推进法治政府建设
加快完善地方性法规和政府规章体系。支持司法机关依法独立行使职权,全面落实司法责任制。推进公共法律服务体系建设。推进法治政府建设,严格执行重大行政决策程序、合法性审查机制和重大决策终身责任追究制度,全面落实政府法律顾问制度,推进基层政务公开标准化、规范化建设。强化行政执法监督。推进严格公正文明执法,全面推行权力清单、责任清单、负面清单等制度,规范政府行政程序、行为、时限和裁量权。增强全民守法意识观念,落实“八五”普法规划,开展《中华人民共和国民法典》普法工作,引导人民群众形成自觉遵守法律的意识和氛围,加大城乡法治文化建设力度,完善现代公共法律服务体系。
四、推动廉政建设
巩固提升“不忘初心、牢记使命”主题教育成果,深入开展“六个年”工作和“十个一”警示教育,营造风清气正政治生态和干事创业良好环境。深化运用审计监督与纪检监察、组织人事、巡视巡察、督促检查等工作协调机制,加快推动巡察联动、巡查和纪检监察深度融合,强化对退察发现问题和线索的分类处置。深入开展重点领域腐败问题专项治理,不断健全行政审批、财政资金管理、国资国企管理等制度,把权力关进制度的笼子,推进政府系统党风廉政建设的反腐败工作不断向纵深推进,树立为民、务实、清廉的政府形象。
第二节建设平安姚安
牢固树立总体国家安全观,建设更高水平的平安姚安。坚持全面依法治县、法治政府、法治社会一体建设,全面推进严格执法、公正司法、全民守法。
一、加强公共安全体系建设
坚持法治姚安、法治政府、法治社会一体建设,深入开展法治乡镇、法治单位、法治村(社区)建设,不断提高基层社会治理水平。坚持和发展新时代“枫桥经验”,畅通和规范群众诉求表达、利益协调、权益保障通道,完善信访制度。健全社会心理服务体系和危机干预机制,完善社会矛盾纠纷多元预防调处化解综合机制。健全公共安全体制机制,完善和落实安全生产责任和管理制度,建立公共安全隐患排查和安全预防控制体系。加强和改进食品药品安全监管制度。健全党组织领导的自治、法治、德治相结合的城乡基层治理体系,健全社区管理和服务机制,推行网格化管理和服务,实现政府治理和社会协调、居民自治良性互动。加大对社会治安重点地区和安全突出问题的排查整治和挂牌整治力度,切实抓好特殊人群服务管理,依法解决涉法涉诉信访,严厉打击各类犯罪活动;落实机构改革要求,完善法律法规,健全安全生产体制机制和安全责任机制,健全各职能部门综合监管机制,共享信用信息,完善联合惩戒机制。加强安全体系信息化管理,建设安全生产检查和隐患检测评估的线上预警体系,提升“平安姚安、法治姚安”创建水平。
二、加强应急管理体系建设
总结新冠疫情防控的经验,强化应急管理体制和运行机制的工作效率和有效衔接,建设安全信息化监测预警和信息指挥系统;强化突发公共事件预防准备、预警除险、排查整治、应急处置和恢复重建等能力,加强安全应急演练,提升应急综合处置能力。建立健全应急救援队伍和灾害协调处置体系,培育基层专兼职救援队伍,完善各职能部门协作联动机制,形成“横向到边、纵向到底”的应急预案体系。
第三节建设和谐姚安
促进文化和谐、社会和谐、民族关系和谐、宗教关系和谐,促进全社会和谐幸福。
一、促进文化和谐
把培育和践行社会主义核心价值观融入国民教育全过程,弘扬以爱国主义为核心的民族精神和以改革创新为核心的时代精神,加强思想道德建设和社会诚信建设,深化群众性精神文明创建活动,健全志愿服务体系,完善舆论监督制度,健全重大舆情和突发事件舆论引导机制。
二、促进社会和谐
着力保障和改善民生,健全基本公共服务制度体系,注重加强普惠性、基础性、兜底性民生建设,鼓励支持社会力量兴办公益事业,满足人民多层次多元化需求。稳妥解决矛盾隐患纠纷和历史遗留问题,全面做好社会面安保维稳管控,坚决遏制各类群体性事件发生。
三、促进民族团结和谐
紧扣“中华民族一家亲、同心共筑中国梦”总目标,深入开展社会主义核心价值观和中国梦宣传教育,推进民族团结进步创建进机关、进社区、进学校、进企业、进农村、进部队、进宗教活动场所、进窗口行业,深入实施“十县百乡千村万户”示范创建工程,全力争创全国民族团结进步示范县,支持争创民族团结进步示范乡镇,民族团结进步示范村(社区)和民族团结进步示范户。倡导和支持开展民族团结进步宣传月、宣传周、宣传日活动,讲好姚安民族团结进步故事。打造“中华民族一家亲”系列实践教育活动平台,开展“结对子”“手拉手”“一家亲”等多层次多领域多样性的联谊活动。
四、促进宗教关系和谐
深入贯彻党的宗教工作基本方针,提升宗教事务治理能力和水平,落实宗教工作“一网两单”制度,促进宗教与社会主义社会相适应。
专栏17坚持和谐稳县重点工程 |
法治工作提升建设。建设交通综合执法指挥中心、警务技能训练中心、交警大队执法办案中心、光禄派出所、前场派出所等项目,配套智能化管理服务设施。 治安工作提升建设。建设综合治安监控系统、林区治安防范体系、禁毒教育宣传基地、毒品检查站、公安检查站、看守所、反恐实战训练基地等项目。 民族团结进步示范区创建巩固提升。有效挖掘利用特有的民族文化、生态环境资源,着力实施特色民居保护建设,发展壮大特色产业,发展和保护优秀民族文化,实现与旅游业、现代农业、农产品加工业、生产性保护、农村电子商务融合发展。进一步巩固提升民族团结进步示范村(社区)创建成果,培树各具特色的民族团结进步示范典型,力争获得国家和省、州的表彰和命名。 创建民族团结进步示范乡镇。强化示范乡镇少数民族村寨的基础设施,全面提升公共服务城乡均等化水平,少数民族自我发展能力显著提升。 创建民族团结进步示范村(社区)。因地制宜、分类举措,加快特色浓郁的示范点创建步伐,加快实施民族团结进步示范村(社区),培树各具特色的民族团结进步示范典型村(社区)。 创建民族团结进步示范户。按照每个示范镇创建要求,确定示范村示范户的比例,创建具有姚安特色的民族团结进步示范户。 应急管理体系建设。完成应急物资储备项目、应急避难场所、姚安县应急指挥中心、应急感知网络体系、智慧应急大数据平台和救援无线通信融合网络、姚安县人防指挥所等项目建设。 |
第十四章坚持党的领导,确保规划全面得到实施
坚持和加强党的全面领导,增强“四个意识”、坚定“四个自信”、做到“两个维护”,把党的领导落实到经济社会发展全过程。完善贯彻落实党中央重大决策部署和习近平总书记重要指示批示精神的督查考核机制,建立健全推动高质量发展的指标体系、政策体系、考评体系等。改进领导班子和领导干部推动高质量发展的政绩考核,发挥督查考核指挥棒作用。推动党领导经济工作的制度化、规范化、程序化,完善党委研究经济社会发展战略、定期分析经济形势、研究重大政策举措的工作机制,完善决策咨询体系,加强调查研究,提高科学决策水平。完善协调机制,坚持党委领导,自觉接受县人大的法律监督和县政协的民主监督,统筹协调好各方关系,健全完善“党建带群建”工作机制,形成党委统筹全局、各方合力促发展的工作格局。落实全面从严治党主体责任、监督责任,提高党的建设质量。把严的主基调长期坚持下去,不断增强党自我净化、自我完善、自我革新、自我提高能力,锲而不舍落实中央八项规定精神,持续纠治形式主义、官僚主义,切实为基层减负。完善党和国家监督体系,加强政治监督,强化对公权力运行的制约和监督,坚持无禁区、全覆盖、零容忍,一体推进不敢腐、不能腐、不想腐,营造风清气正的良好政治生态。
第一节加强组织领导
成立领导小组,加强对“十四五”规划实施的指导、统筹、协调,研究重大规划、重大政策、重点项目和年度工作安排,督促检查有关工作落实情况。领导小组办公室设在县发展改革局,承担领导小组日常工作并加强与各乡镇和各部门沟通对接,做好日常统筹协调工作。
第二节强化项目支撑
按照国家、省、州的发展战略,立足县内资源,谋划一批基础设施、产业发展、生态环保、民生保障等项目。高度重视投资工作,强化项目支撑,保持投资适度较快增长。加强招商引资,多渠道宣传和推介项目,着力对接落实一批重大项目。对新签约的项目定期集中调查研究;前期推进项目加强指导,加快审批,及时协调解决各类问题;在建项目强化跟踪服务,确保按时竣工投产。
第三节加强督查考核
建立信息披露制度,整合部门信息资源,搭建统一、透明、高效的政府公共信息发布平台,畅通信息渠道,及时披露执行情况,引导社会舆论加强监督。加强监测监督,加强对“十四五”规划实施情况,特别是重要发展目标和重大项目进展情况的动态跟踪和监测分析。建立健全重大事项报告制度,对重点行业、年度重点任务开展重点监查,及时报告,自觉接受县人大、县政协的监督检查。
第四节做好宣传引导
“十四五”规划经过县人民代表大会审议通过后,及时向社会公布。充分发挥媒体的宣传报道作用,向社会广泛宣传“十四五”规划纲要,不断提高公众的规划意识,在全社会形成关心和参与规划实施的氛围。充分利用广播、电视、报纸、互联网等媒体,及时发布各类信息,开辟畅通渠道,广泛吸取各方面的意见和建议,让更多的社会公众通过法定程序和渠道参与规划的实施和监督。
附表
1.姚安县“十三五”规划指标完成情况表

2.姚安县“十四五”经济社会发展主要指标表

附图 (略)